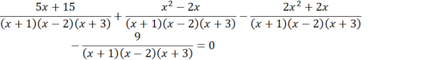
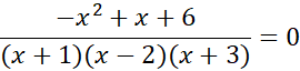
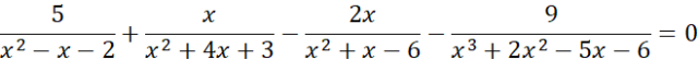
Należy rozwiązać równanie
Rozwiązanie równania jest to znalezienie wszystkich takich x, dla których dane równanie jest prawdziwe.
Zadanie 1.1.
7Zadanie 1.2.
7Zadanie 1.3.
7Zadanie 1.4.
7Zadanie 1.5.
8Zadanie 1.6.
8Zadanie 1.7.
8Zadanie 1.10.
8Zadanie 1.11.
8Zadanie 1.12.
9Zadanie 1.13.
9Zadanie 1.14.
9Zadanie 1.15.
9Zadanie 1.16.
9Zadanie 1.17.
9Zadanie 1.18.
10Zadanie 1.19.
10Zadanie 1.20.
10Zadanie 1.21.
10Zadanie 1.22.
11Zadanie 1.23.
11Zadanie 1.24.
11Zadanie 1.25.
11Zadanie 1.26.
11Zadanie 1.27.
12Zadanie 1.28.
12Zadanie 1.29.
12Zadanie 1.30.
12Zadanie 1.31.
12Zadanie 1.32.
13Zadanie 1.33.
13Zadanie 1.34.
13Zadanie 1.35.
13Zadanie 1.36.
13Zadanie 1.37.
14Zadanie 1.38.
14Zadanie 1.39.
14Zadanie 1.40.
14Zadanie 1.41.
15Zadanie 1.42.
15Zadanie 1.43.
15Zadanie 1.44.
15Zadanie 1.45.
16Zadanie 1.46.
16Zadanie 1.57.
17Zadanie 1.58.
17Zadanie 1.59.
18Zadanie 1.60.
18Zadanie 1.64.
19Zadanie 1.65.
19Zadanie 1.66.
19Zadanie 1.67.
19Zadanie 1.68.
20Zadanie 1.69.
20Zadanie 1.70.
20Zadanie 1.71.
20Zadanie 1.72.
20Zadanie 1.73.
21Zadanie 1.74.
21Zadanie 1.98.
24Zadanie 1.104.
25Zadanie 1.105.
25Zadanie 1.106.
25Zadanie 1.107.
25Zadanie 1.108.
25Zadanie 1.109.
26Zadanie 1.110.
26Zadanie 1.111.
26Zadanie 1.112.
26Zadanie 1.131.
28Zadanie 1.132.
29Zadanie 1.133.
29Zadanie 1.134.
30Zadanie 1.135.
30Zadanie 1.136.
30Zadanie 1.138.
30Zadanie 1.139.
31Zadanie 1.141.
31Zadanie 1.142.
31Zadanie 1.143.
31Zadanie 1.144.
31Zadanie 1.145.
32Zadanie 1.146.
32Zadanie 1.147.
32Zadanie 1.148.
32Zadanie 1.149.
33Zadanie 1.150.
33Zadanie 1.151.
33Zadanie 1.152.
33Zadanie 1.153.
33Zadanie 1.154.
33Zadanie 1.159.
34Zadanie 1.162.
35Zadanie 1.167.
35Zadanie 1.168.
35Zadanie 1.169.
35Zadanie 1.170.
36Zadanie 1.171.
36Zadanie 1.175.
36Zadanie 1.177.
37Zadanie 1.179.
37Zadanie 1.11.
39Zadanie 1.12.
39Zadanie 1.13.
39Zadanie 1.15.
40Zadanie 1.28.
41Zadanie 1.29.
42Zadanie 1.30.
42