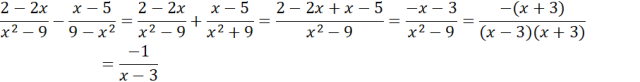
Należy wykonać działanie
W celu zsumowania ułamków algebraicznych należy rozszerzyć je tak, aby miały taki sam mianownik a następnie wykonać działania w liczniku. Dziedziną ułamka algebraicznego nazywamy zbiór liczb rzeczywistych dla których mianownik tego ułamka się nie zeruje.
Zadanie 1.1.
7Zadanie 1.2.
7Zadanie 1.3.
7Zadanie 1.4.
7Zadanie 1.5.
8Zadanie 1.6.
8Zadanie 1.7.
8Zadanie 1.10.
8Zadanie 1.11.
8Zadanie 1.12.
9Zadanie 1.13.
9Zadanie 1.14.
9Zadanie 1.15.
9Zadanie 1.16.
9Zadanie 1.17.
9Zadanie 1.18.
10Zadanie 1.19.
10Zadanie 1.20.
10Zadanie 1.21.
10Zadanie 1.22.
11Zadanie 1.23.
11Zadanie 1.24.
11Zadanie 1.25.
11Zadanie 1.26.
11Zadanie 1.27.
12Zadanie 1.28.
12Zadanie 1.29.
12Zadanie 1.30.
12Zadanie 1.31.
12Zadanie 1.32.
13Zadanie 1.33.
13Zadanie 1.34.
13Zadanie 1.35.
13Zadanie 1.36.
13Zadanie 1.37.
14Zadanie 1.38.
14Zadanie 1.39.
14Zadanie 1.40.
14Zadanie 1.41.
15Zadanie 1.42.
15Zadanie 1.43.
15Zadanie 1.44.
15Zadanie 1.45.
16Zadanie 1.46.
16Zadanie 1.57.
17Zadanie 1.58.
17Zadanie 1.59.
18Zadanie 1.60.
18Zadanie 1.64.
19Zadanie 1.65.
19Zadanie 1.66.
19Zadanie 1.67.
19Zadanie 1.68.
20Zadanie 1.69.
20Zadanie 1.70.
20Zadanie 1.71.
20Zadanie 1.72.
20Zadanie 1.73.
21Zadanie 1.74.
21Zadanie 1.98.
24Zadanie 1.104.
25Zadanie 1.105.
25Zadanie 1.106.
25Zadanie 1.107.
25Zadanie 1.108.
25Zadanie 1.109.
26Zadanie 1.110.
26Zadanie 1.111.
26Zadanie 1.112.
26Zadanie 1.131.
28Zadanie 1.132.
29Zadanie 1.133.
29Zadanie 1.134.
30Zadanie 1.135.
30Zadanie 1.136.
30Zadanie 1.138.
30Zadanie 1.139.
31Zadanie 1.141.
31Zadanie 1.142.
31Zadanie 1.143.
31Zadanie 1.144.
31Zadanie 1.145.
32Zadanie 1.146.
32Zadanie 1.147.
32Zadanie 1.148.
32Zadanie 1.149.
33Zadanie 1.150.
33Zadanie 1.151.
33Zadanie 1.152.
33Zadanie 1.153.
33Zadanie 1.154.
33Zadanie 1.159.
34Zadanie 1.162.
35Zadanie 1.167.
35Zadanie 1.168.
35Zadanie 1.169.
35Zadanie 1.170.
36Zadanie 1.171.
36Zadanie 1.175.
36Zadanie 1.177.
37Zadanie 1.179.
37Zadanie 1.11.
39Zadanie 1.12.
39Zadanie 1.13.
39Zadanie 1.15.
40Zadanie 1.28.
41Zadanie 1.29.
42Zadanie 1.30.
42