Zadanie

Należy uprościć wyrażenie oraz wyznaczyć dziedzinę ułamka.

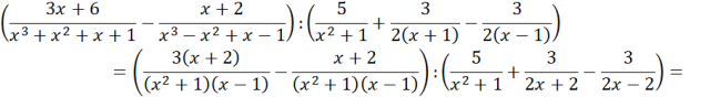
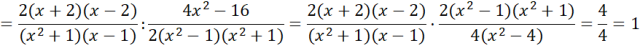
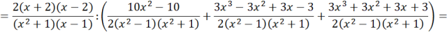
Rozwiązanie

Wyjaśnienie

Zadania z tego działu
1. Ułamki algebraiczne. Równania i nierówności wymierne. Funkcje wymierne
7
1.1. Ułamek algebraiczny. Skracanie i rozszerzanie ułamków algebraicznych.
7

Zadanie 1.1.

7

Zadanie 1.2.

7

Zadanie 1.3.

7

Zadanie 1.4.

7

Zadanie 1.5.

8

Zadanie 1.6.

8

Zadanie 1.7.

8

Zadanie 1.10.

8

Zadanie 1.11.

8

Zadanie 1.12.

9

Zadanie 1.13.

9

Zadanie 1.14.

9

Zadanie 1.15.

9

Zadanie 1.16.

9

Zadanie 1.17.

9

Zadanie 1.18.

10

Zadanie 1.19.

10

Zadanie 1.20.

10

Zadanie 1.21.

10