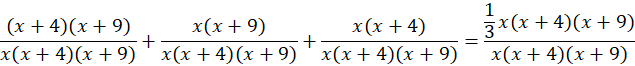
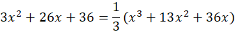
W sieci sklepów dostępne są trzy rodzaje samochodów dostawczych, które mają dostarczyć partię komputerów z głównego magazynu do poszczególnych sklepów w całym kraju. Czas dostarczenia przy użyciu ciężarówek typu alfa jest krótszy o 4 dni niż w przypadku ciężarówek beta. Wykorzystanie tylko półciężarówek gamma wymaga aż o 9 dni więcej niż zastosowanie ciężarówek alfa. Jeśli wykonanie całego zadania przy użyciu wszystkich trzech rodzajów samochodów zajmuje łącznie 3 dni, ile dni będzie trzeba na wykonanie zadania przez każdy typ samochodów osobno?
x – czas dostarczenia towaru ciężarówkami alfa
x+4 – czas dostarczenia towaru ciężarówkami beta
x+9 – czas dostarczenia towaru ciężarówkami gamma
Jedyny naturalny pierwiastek:
Utwórz równanie zgodne z treścią zadania i rozwiąż je, sprowadzając ułamki do wspólnego mianownika. Po dojściu do wielomianu stopnia 3 rozłóż go na czynniki i wybierz rozwiązanie naturalne. Oblicz pozostałe niewiadome.
Zadanie 1.5.
94Zadanie 1.6.
94Zadanie 1.7.
94Zadanie 1.8.
94Zadanie 1.9.
94Zadanie 1.10.
94Zadanie 1.11.
95Zadanie 1.12.
95Zadanie 1.13.
95Zadanie 1.14.
95Zadanie 1.15.
96Zadanie 1.17.
96Zadanie 2.6.
100Zadanie 2.7.
100Zadanie 2.8.
100Zadanie 2.9.
100Zadanie 2.10.
101Zadanie 2.11.
101Zadanie 2.14.
101Zadanie 2.20.
102Zadanie 2.22.
102Zadanie 3.4.
105Zadanie 3.5.
105Zadanie 3.6.
105Zadanie 3.7.
106Zadanie 3.8.
106Zadanie 3.9.
106Zadanie 3.10.
106Zadanie 3.13.
107Zadanie 3.17.
107Zadanie 4.4.
118Zadanie 4.5.
119Zadanie 4.6.
119Zadanie 4.8.
119Zadanie 4.9.
119Zadanie 4.13.
119Zadanie 4.14.
119Zadanie 4.15.
120Zadanie 4.16.
120Zadanie 4.17.
120Zadanie 4.19.
120Zadanie 4.20.
120Zadanie 4.21.
121Zadanie 4.22.
121Zadanie 4.23.
121Zadanie 4.24.
121Zadanie 4.25.
121Zadanie 4.26.
121Zadanie 4.34.
122Zadanie 5.5.
129Zadanie 5.6.
129Zadanie 5.8.
130Zadanie 5.15.
130Zadanie 5.16.
130Zadanie 5.17.
131Zadanie 5.18.
131Zadanie 5.22.
131Zadanie 5.23.
132Zadanie 6.6.
141Zadanie 6.7.
142Zadanie 6.11.
142Zadanie 6.12.
142Zadanie 6.13.
142Zadanie 6.14.
142Zadanie 6.15.
142Zadanie 6.16.
143Zadanie 6.17.
143Zadanie 6.18.
143Zadanie 6.19.
143Zadanie 6.22.
143Zadanie 7.5.
151Zadanie 7.6.
151Zadanie 7.7.
151Zadanie 7.8.
152Zadanie 7.9.
152Zadanie 7.10.
152Zadanie 7.11.
152Zadanie 7.12.
152Zadanie 7.13.
152Zadanie 7.14.
152Zadanie 7.15.
153Zadanie 7.16.
153Zadanie 7.17.
153Zadanie 7.18.
153Zadanie 8.6.
160Zadanie 8.7.
160Zadanie 8.8.
160Zadanie 8.9.
160Zadanie 8.10.
161Zadanie 8.11.
161Zadanie 8.12.
161Zadanie 8.20.
162Zadanie 8.21.
162Zadanie 8.22.
162Zadanie 9.5.
168Zadanie 9.6.
168Zadanie 9.7.
168Zadanie 9.8.
168Zadanie 9.9.
169Zadanie 9.10.
169Zadanie 9.11.
169Zadanie 9.12.
169Zadanie 9.13.
169Zadanie 9.14.
169Zadanie 9.15.
170Zadanie 9.16.
170Zadanie 10.4.
176Zadanie 10.6.
176Zadanie 10.7.
177Zadanie 10.8.
177Zadanie 10.9.
177Zadanie 10.10.
177Zadanie 10.11.
177Zadanie 11.5.
183Zadanie 11.6.
184Zadanie 11.7.
184Zadanie 11.8.
184Zadanie 11.9.
184Zadanie 11.10.
184Zadanie 11.12.
184Zadanie 12.1.
187Zadanie 12.2.
187Zadanie 12.3.
187Zadanie 12.4.
187Zadanie 12.5.
187Zadanie 13.6.
195Zadanie 13.7.
195Zadanie 13.8.
195Zadanie 13.9.
196Zadanie 13.10.
196Zadanie 13.11.
196Zadanie 13.12.
196Zadanie 13.13.
196Zadanie 13.14.
196Zadanie 13.15.
196Zadanie 13.17.
197Zadanie 13.18.
197Zadanie 13.19.
197Zadanie 13.20.
197Zadanie 13.21.
197Zadanie 13.22.
197Zadanie 13.23.
198Zadanie 13.24.
198Zadanie 48.
203Zadanie 49.
204Zadanie 52.
204Zadanie 53.
204Zadanie 54.
204Zadanie 55.
204Zadanie 64.
205Zadanie 72.
205Zadanie 76.
206Zadanie 80.
206