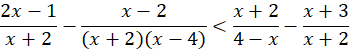
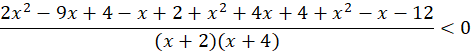
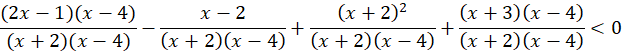
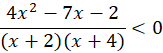
Znajdź rozwiązanie nierówności
Wyznacz dziedzinę, wiedząc, że mianownik musi być różny od zera. Pomnóż obie strony przez kwadraty mianowników, przenieś na jedną stronę nierówności i rozłóż wielomian na czynniki. Narysuj otrzymaną funkcję i znajdź rozwiązanie, uwzględniając dziedzinę.
Zadanie 1.5.
94Zadanie 1.6.
94Zadanie 1.7.
94Zadanie 1.8.
94Zadanie 1.9.
94Zadanie 1.10.
94Zadanie 1.11.
95Zadanie 1.12.
95Zadanie 1.13.
95Zadanie 1.14.
95Zadanie 1.15.
96Zadanie 1.17.
96Zadanie 2.6.
100Zadanie 2.7.
100Zadanie 2.8.
100Zadanie 2.9.
100Zadanie 2.10.
101Zadanie 2.11.
101Zadanie 2.14.
101Zadanie 2.20.
102Zadanie 2.22.
102Zadanie 3.4.
105Zadanie 3.5.
105Zadanie 3.6.
105Zadanie 3.7.
106Zadanie 3.8.
106Zadanie 3.9.
106Zadanie 3.10.
106Zadanie 3.13.
107Zadanie 3.17.
107Zadanie 4.4.
118Zadanie 4.5.
119Zadanie 4.6.
119Zadanie 4.8.
119Zadanie 4.9.
119Zadanie 4.13.
119Zadanie 4.14.
119Zadanie 4.15.
120Zadanie 4.16.
120Zadanie 4.17.
120Zadanie 4.19.
120Zadanie 4.20.
120Zadanie 4.21.
121Zadanie 4.22.
121Zadanie 4.23.
121Zadanie 4.24.
121Zadanie 4.25.
121Zadanie 4.26.
121Zadanie 4.34.
122Zadanie 5.5.
129Zadanie 5.6.
129Zadanie 5.8.
130Zadanie 5.15.
130Zadanie 5.16.
130Zadanie 5.17.
131Zadanie 5.18.
131Zadanie 5.22.
131Zadanie 5.23.
132Zadanie 6.6.
141Zadanie 6.7.
142Zadanie 6.11.
142Zadanie 6.12.
142Zadanie 6.13.
142Zadanie 6.14.
142Zadanie 6.15.
142Zadanie 6.16.
143Zadanie 6.17.
143Zadanie 6.18.
143Zadanie 6.19.
143Zadanie 6.22.
143Zadanie 7.5.
151Zadanie 7.6.
151Zadanie 7.7.
151Zadanie 7.8.
152Zadanie 7.9.
152Zadanie 7.10.
152Zadanie 7.11.
152Zadanie 7.12.
152Zadanie 7.13.
152Zadanie 7.14.
152Zadanie 7.15.
153Zadanie 7.16.
153Zadanie 7.17.
153Zadanie 7.18.
153Zadanie 8.6.
160Zadanie 8.7.
160Zadanie 8.8.
160Zadanie 8.9.
160Zadanie 8.10.
161Zadanie 8.11.
161Zadanie 8.12.
161Zadanie 8.20.
162Zadanie 8.21.
162Zadanie 8.22.
162Zadanie 9.5.
168Zadanie 9.6.
168Zadanie 9.7.
168Zadanie 9.8.
168Zadanie 9.9.
169Zadanie 9.10.
169Zadanie 9.11.
169Zadanie 9.12.
169Zadanie 9.13.
169Zadanie 9.14.
169Zadanie 9.15.
170Zadanie 9.16.
170Zadanie 10.4.
176Zadanie 10.6.
176Zadanie 10.7.
177Zadanie 10.8.
177Zadanie 10.9.
177Zadanie 10.10.
177Zadanie 10.11.
177Zadanie 11.5.
183Zadanie 11.6.
184Zadanie 11.7.
184Zadanie 11.8.
184Zadanie 11.9.
184Zadanie 11.10.
184Zadanie 11.12.
184Zadanie 12.1.
187Zadanie 12.2.
187Zadanie 12.3.
187Zadanie 12.4.
187Zadanie 12.5.
187Zadanie 13.6.
195Zadanie 13.7.
195Zadanie 13.8.
195Zadanie 13.9.
196Zadanie 13.10.
196Zadanie 13.11.
196Zadanie 13.12.
196Zadanie 13.13.
196Zadanie 13.14.
196Zadanie 13.15.
196Zadanie 13.17.
197Zadanie 13.18.
197Zadanie 13.19.
197Zadanie 13.20.
197Zadanie 13.21.
197Zadanie 13.22.
197Zadanie 13.23.
198Zadanie 13.24.
198Zadanie 48.
203Zadanie 49.
204Zadanie 52.
204Zadanie 53.
204Zadanie 54.
204Zadanie 55.
204Zadanie 64.
205Zadanie 72.
205Zadanie 76.
206Zadanie 80.
206