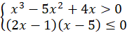
Zadanie

Wyznacz zbiór rozwiązań układu nierówności .

Rozwiązanie

Wyjaśnienie

Zadania z tego działu
Dział 2. Wielomiany i wyrażenia wymierne
87
4. Równania wielomianowe
110

Zadanie 4.4.

118

Zadanie 4.5.

119

Zadanie 4.6.

119

Zadanie 4.8.

119

Zadanie 4.9.

119

Zadanie 4.13.

119

Zadanie 4.14.

119

Zadanie 4.15.

120

Zadanie 4.16.

120

Zadanie 4.17.

120

Zadanie 4.19.

120

Zadanie 4.20.

120

Zadanie 4.21.

121

Zadanie 4.22.

121

Zadanie 4.23.

121

Zadanie 4.24.

121

Zadanie 4.25.

121

Zadanie 4.26.

121

Zadanie 4.34.

122
7. Nierówności wielomianowe
145

Zadanie 7.5.

151

Zadanie 7.6.

151

Zadanie 7.7.

151

Zadanie 7.8.

152

Zadanie 7.9.

152

Zadanie 7.10.

152

Zadanie 7.11.

152

Zadanie 7.12.

152

Zadanie 7.13.

152

Zadanie 7.14.

152

Zadanie 7.15.

153

Zadanie 7.16.

153

Zadanie 7.17.

153

Zadanie 7.18.

153
13. Funkcja wymierna
188

Zadanie 13.6.

195

Zadanie 13.7.

195

Zadanie 13.8.

195

Zadanie 13.9.

196

Zadanie 13.10.

196

Zadanie 13.11.

196

Zadanie 13.12.

196

Zadanie 13.13.

196

Zadanie 13.14.

196

Zadanie 13.15.

196

Zadanie 13.17.

197

Zadanie 13.18.

197

Zadanie 13.19.

197

Zadanie 13.20.

197

Zadanie 13.21.

197

Zadanie 13.22.

197

Zadanie 13.23.

198

Zadanie 13.24.

198
14. Powtórzenie
199

Zadanie 48.

203

Zadanie 49.

204

Zadanie 52.

204

Zadanie 53.

204

Zadanie 54.

204

Zadanie 55.

204

Zadanie 64.

205

Zadanie 72.

205

Zadanie 76.

206

Zadanie 80.

206