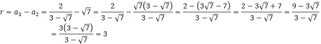
W tym zadaniu musisz wykazać, że ciąg
Aby ciąg był ciągiem arytmetycznym pomiędzy kolejnymi wyrazami, musi być taka sama różnica.
Różnica jest stała, a więc ten ciąg jest arytmetyczny, co należało dowieść.
Aby udowodnić, że ciąg jest arytmetyczny, musisz wykazać, że różnica pomiędzy kolejnymi wyrazami jest stała. Oblicz pierwsze trzy wyrazy ciągu, następnie oblicz różnicę między drugim i pierwszym wyrazem, a następnie między trzecim, a drugim wyrazem. Zauważ, że różnica jest stała, a więc ciąg jest arytmetyczny.
Zadanie 6.
49Zadanie 7.
49Zadanie 9.
49Zadanie 10.
49Zadanie 11.
49Zadanie 13.
50Zadanie 16.
50Zadanie 17.
50Zadanie 18.
50Zadanie 19.
50Zadanie 20.
50Zadanie 5.
54Zadanie 6.
54Zadanie 7.
54Zadanie 8.
54Zadanie 9.
54Zadanie 10.
54Zadanie 11.
54Zadanie 1.
56Zadanie 2.
56Zadanie 3.
57Zadanie 8.
61Zadanie 9.
61Zadanie 10.
62Zadanie 11.
62Zadanie 15.
62Zadanie 16.
62Zadanie 22.
63Zadanie 4.
68Zadanie 5.
68Zadanie 6.
68Zadanie 7.
68Zadanie 8.
68Zadanie 11.
68Zadanie 1.
69Zadanie 6.
76Zadanie 7.
76Zadanie 8.
76Zadanie 10.
76Zadanie 13.
76Zadanie 16.
77Zadanie 21.
77Zadanie 24.
77Zadanie 5.
82Zadanie 8.
83Zadanie 9.
83Zadanie 12.
83Zadanie 9.
86Zadanie 1.
88Zadanie 3.
91Zadanie 4.
95Zadanie 6.
95Zadanie 7.
95Zadanie 9.
95Zadanie 13.
96Zadanie 14.
96Zadanie 9.
98Zadanie 10.
98Zadanie 11.
98Zadanie 15.
98