Wyznacz długość przeciwprostokątnej Trójkąta T2, wiedząc, że w trójkącie T1 przyprostokątne mają długość a i b, natomiast dwusieczna kąta prostego dzieli najdłuższy bok na odcinki, które są przyprostokątnymi w trójkącie T2.
Trójkąt T1:
|AB| = a
|AC| = b
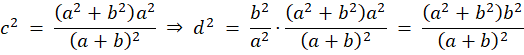
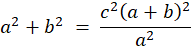
|BC| = |BD| + |BC| = c + d
Twierdzenie o dwusiecznej:
Twierdzenie Pitagorasa:
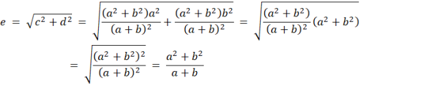
Trójkąt T2:
|A’B’| = c
|A’C’| = d
|B’C’| = e
Z twierdzenie o dwusiecznej kąta wyznacz w zależności od siebie długości przyprostokątnych c, d w trójkącie T2. Następnie skorzystaj z twierdzenia Pitagorasa w T1, aby uzależnić obie niewiadome od danych a i b. W trójkącie T2 wyznacz długość przeciwprostokątnej, podstawiając wyznaczone wartości.
Zadanie 4.
276Zadanie 7.
276Zadanie 12.
277Zadanie 13.
277Zadanie 15.
277Zadanie 1.
280Zadanie 4.
280Zadanie 6.
281Zadanie 7.
281Zadanie 12.
281Zadanie 16.
282Zadanie 17.
282Zadanie 18.
282Zadanie 20.
282Zadanie 22.
283Zadanie 28.
283Zadanie 29.
284Zadanie 30.
284Zadanie 31.
284Zadanie 32.
284Zadanie 1.
285Zadanie 2.
285Zadanie 3.
285Zadanie 4.
285Zadanie 17.
287Zadanie 22.
288Zadanie 4.
289Zadanie 5.
289Zadanie 12.
290Zadanie 16.
291Zadanie 27.
292Zadanie 2.
293Zadanie 3.
293Zadanie 7.
294Zadanie 11.
294Zadanie 13.
294Zadanie 18.
295Zadanie 19.
295Zadanie 24.
296Zadanie 25.
296Zadanie 27.
296Zadanie 1.
297Zadanie 2.
297Zadanie 4.
297Zadanie 15.
298Zadanie 17.
298Zadanie 20.
299Zadanie 1.
300Zadanie 3.
300Zadanie 9.
300Zadanie 11.
301Zadanie 16.
301Zadanie 26.
302Zadanie 27.
302Zadanie 1.
304Zadanie 2.
304Zadanie 3.
304Zadanie 6.
304Zadanie 7.
304Zadanie 9.
304Zadanie 15.
305Zadanie 24.
306Zadanie 25.
306Zadanie 30.
307