Wyznacz stosunek odcinków, w jakim punkt S dzieli dwusieczną AE, wiedząc, że w trójkącie ABC dane są jego boki |AB| = c, |AC| = b, |BC| = a oraz punkt S jest punktem wspólnym dwusiecznych AE i BD, przy czym punkty E i D to punkty wspólnych boków trójkąta z dwusiecznymi jego kątów.
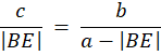
Twierdzenie o dwusiecznej AE:
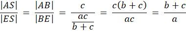
Twierdzenie o dwusiecznej BS:
Skorzystaj z twierdzenie o dwusiecznej AE, aby wyznacz ze stosunku długość odcinka BE. Następnie użyj tego samego twierdzenia dla dwusiecznej BS, która zawiera się w dwusiecznej BD, aby obliczyć stosunek odcinków AS i ES.
Zadanie 4.
276Zadanie 7.
276Zadanie 12.
277Zadanie 13.
277Zadanie 15.
277Zadanie 1.
280Zadanie 4.
280Zadanie 6.
281Zadanie 7.
281Zadanie 12.
281Zadanie 16.
282Zadanie 17.
282Zadanie 18.
282Zadanie 20.
282Zadanie 22.
283Zadanie 28.
283Zadanie 29.
284Zadanie 30.
284Zadanie 31.
284Zadanie 32.
284Zadanie 1.
285Zadanie 2.
285Zadanie 3.
285Zadanie 4.
285Zadanie 17.
287Zadanie 22.
288Zadanie 4.
289Zadanie 5.
289Zadanie 12.
290Zadanie 16.
291Zadanie 27.
292Zadanie 2.
293Zadanie 3.
293Zadanie 7.
294Zadanie 11.
294Zadanie 13.
294Zadanie 18.
295Zadanie 19.
295Zadanie 24.
296Zadanie 25.
296Zadanie 27.
296Zadanie 1.
297Zadanie 2.
297Zadanie 4.
297Zadanie 15.
298Zadanie 17.
298Zadanie 20.
299Zadanie 1.
300Zadanie 3.
300Zadanie 9.
300Zadanie 11.
301Zadanie 16.
301Zadanie 26.
302Zadanie 27.
302Zadanie 1.
304Zadanie 2.
304Zadanie 3.
304Zadanie 6.
304Zadanie 7.
304Zadanie 9.
304Zadanie 15.
305Zadanie 24.
306Zadanie 25.
306Zadanie 30.
307