Wyznacz stosunek pól czworokąta BCDP i trójkąta ABP, wiedząc, że punkt P jest punktem wspólnym ramienia AD w trapezie ABCD (AB ∥ CD, |AB| > |CD|) oraz dwusiecznej kąta ABC takim, że zachodzi relacja |AP| = 2|PD|.
E – punkt przecięcia ramion BC i AD
BP – dwusieczna ∢ABE
BP – wysokość △ABE
⇓
△ABE – równoramienny
⇓
|AB| = |BE|
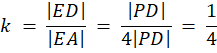
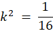
|PE| = |AP|
|DE| + |DP| = 2|DP|
|DE| = |PD|
AB ∥ CD
⇓kkk
△EDC ∼△EAB
Przedłuż ramiona trapezu tak, aby przecinały się w punkcie E. Zauważ, że dwusieczna kąta ABE jest także wysokością, więc trójkąta ABE jest równoramienny. Stąd wynika, że odcinek DE stanowi czwartą część odcinka AB. Skoro proste AB i CD są równoległe, to na mocy cechy kkk trójkąty EDC są podobne. Wyznacz skalę tego podobieństwa, a następnie oblicz pole trójkątów DCE i ABP oraz czworokąta BCDP w zależności od pola trójkąta ABE i wyznacz szukany stosunek pól.
Zadanie 4.
276Zadanie 7.
276Zadanie 12.
277Zadanie 13.
277Zadanie 15.
277Zadanie 1.
280Zadanie 4.
280Zadanie 6.
281Zadanie 7.
281Zadanie 12.
281Zadanie 16.
282Zadanie 17.
282Zadanie 18.
282Zadanie 20.
282Zadanie 22.
283Zadanie 28.
283Zadanie 29.
284Zadanie 30.
284Zadanie 31.
284Zadanie 32.
284Zadanie 1.
285Zadanie 2.
285Zadanie 3.
285Zadanie 4.
285Zadanie 17.
287Zadanie 22.
288Zadanie 4.
289Zadanie 5.
289Zadanie 12.
290Zadanie 16.
291Zadanie 27.
292Zadanie 2.
293Zadanie 3.
293Zadanie 7.
294Zadanie 11.
294Zadanie 13.
294Zadanie 18.
295Zadanie 19.
295Zadanie 24.
296Zadanie 25.
296Zadanie 27.
296Zadanie 1.
297Zadanie 2.
297Zadanie 4.
297Zadanie 15.
298Zadanie 17.
298Zadanie 20.
299Zadanie 1.
300Zadanie 3.
300Zadanie 9.
300Zadanie 11.
301Zadanie 16.
301Zadanie 26.
302Zadanie 27.
302Zadanie 1.
304Zadanie 2.
304Zadanie 3.
304Zadanie 6.
304Zadanie 7.
304Zadanie 9.
304Zadanie 15.
305Zadanie 24.
306Zadanie 25.
306Zadanie 30.
307