W tym zadaniu oblicz liczbę moli N2O4 w 36,8 g próbki; liczbę moli NO2 w mieszaninie reakcyjnej oraz wartość Kc w podanych warunkach.
Cm =
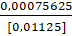
[N2O4] = = 0,01125 mol/dm3
[NO2] = = 0,0275 mol/dm3
K =
K = = = 0,06722 = 0,067
Ćwiczenie 1.
Ćwiczenie 2.
Ćwiczenie 3.
Ćwiczenie 4.
Ćwiczenie 5.
Ćwiczenie 6.
Ćwiczenie 7.
Podpunkt a)
Podpunkt b)
Podpunkt c)
Ćwiczenie 8.
Ćwiczenie 9.
Ćwiczenie 10.
Ćwiczenie 11.
Ćwiczenie 12.
Ćwiczenie 13.
Ćwiczenie 14.