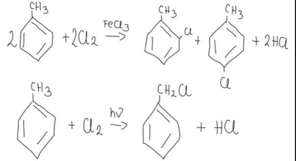
Związek I to 1-chloro-2-metylobenzen. Związki I i II są w stosunku do siebie izomerami. Z toluenu w reakcji substytucji można otrzymać oba związki. Chlorowanie związku I w obecności FeCl₃ spowoduje wymianę atomu wodoru przyłączonego do atomu węgla o hybrydyzacji sp² na atom chloru.
Aby ustalić hybrydyzację atomu, należy policzyć liczbę tworzonych przez niego wiązań sigma i dodać do niej liczbę wolnych par elektronowych na tym atomie. W przypadku węglowodorów, na atomie węgla nigdy nie ma wolnych par elektronowych, zatem o hybrydyzacji decydują wyłącznie wiązania sigma.
Jeśli suma ta wynosi 2, mamy do czynienia z hybrydyzacją sp, 3- sp2, 4- sp3.
Izomery to związki, które mają taki sam wzór sumaryczny, ale różne wzory strukturalne, a co za tym idzie- różne nazwy.
Równania reakcji otrzymywania przedstawionych związków (reakcje wymagają innych warunków):