Skul.pl
  • Opracowania zadań z podręczników
  • Chemia. Klasa 2. Podręcznik. Zakres rozszerzony. Wersja 2023 - rozwiązania i odpowiedzi
  • Podpunkt b)

Chemia. Klasa 2. Podręcznik. Zakres rozszerzony. Wersja 2023 - rozwiązania i odpowiedzi

Podręcznik, Wydawnictwo: WSiP
Poprzednie

Zadanie 19, b) - strona 356

Następne

Zadanie

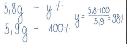
Oblicz wydajność opisanego procesu

Rozwiązanie

Skul
Poprzednie
Następne

Chemia - wybrane pytania

Zadanie 14, strona 65, Chemia. Klasa 3. Podręcznik. Zakres podstawowy. Wersja 2024 - rozwiązania i odpowiedzi
Zadanie 16., strona 54, Chemia. Klasa 1. Zbiór zadań. Zakres rozszerzony - rozwiązania i odpowiedzi
Zadanie 25, strona 55, To jest chemia 1. Maturalne karty pracy z kartami laboratoryjnymi dla liceum ogólnokształcącego i technikum. Zakres rozszerzony. Wersja 2019 - rozwiązania i odpowiedzi
Ćwiczenie 6, strona 178, Chemia. Klasa 3. Podręcznik. Zakres rozszerzony - rozwiązania i odpowiedzi
Ćwiczenie 8., strona 101, Chemia Nowej Ery. Klasa 8. Zeszyt ćwiczeń – rozwiązania i odpowiedzi
Zadanie 3, strona 138, Chemia. Klasa 1. Podręcznik. Część 1. Zakres rozszerzony - rozwiązania i odpowiedzi
Zadanie 2.2.2., strona 28, Chemia. Klasa 7. Zbiór zadań - rozwiązania i odpowiedzi
Zadanie 4., strona 67, Chemia. Świat chemii. Klasa 7. Zeszyt ćwiczeń - rozwiązania i odpowiedzi
Zadanie 4.29., strona 48, Chemia. Zbiór zadań. Zakres rozszerzony- rozwiązania i odpowiedzi
Ćwiczenie 4, strona 57, Chemia. Klasa 3. Podręcznik. Zakres rozszerzony - rozwiązania i odpowiedzi
REKLAMA
Skul
Zadania z tego działu
Zadania powtórzeniowe
352
Zadania powtórzeniowe
352

Zadanie 1

352

Podpunkt a)

352

Podpunkt b)

352

Podpunkt c)

352

Zadanie 2

352

Zadanie 3

352

Podpunkt a)

352

Podpunkt b)

352

Zadanie 4

353

Podpunkt a)

353

Podpunkt b)

353

Zadanie 5

353

Podpunkt a)

353

Podpunkt b)

353

Podpunkt c)

353

Zadanie 6

353

Zadanie 7

353

Zadanie 8

354

Podpunkt a)

354

Podpunkt b)

354

Zadanie 9

354

Zadanie 10

354

Zadanie 11

354

Zadanie 12

355

Zadanie 13

355

Podpunkt a)

355

Podpunkt b)

355

Zadanie 14

355

Zadanie 15

355

Podpunkt a)

355

Podpunkt b)

355

Zadanie 16

356

Zadanie 17

356

Zadanie 18

356

Zadanie 19

356

Podpunkt a)

356

Podpunkt b)

356

Podpunkt c)

356

Zadanie 20

356

Podpunkt a)

356

Podpunkt b)

356

Zadanie 21

357

Zadanie 22

357

Zadanie 23

357

Zadanie 24

357

Zadanie 25

357

Podpunkt a)

357

Podpunkt b)

357

Podpunkt c)

357
Pełny spis treści
Skul
Artboard 1
Skul.pl
  • Napisz do nas
  • FAQ
  • Mapa Serwisu
  • Google Play
  • App Store

Korzystanie z portalu oznacza akceptację Regulaminu.
Polityka prywatności. Ustawienia preferencji. Copyright: INTERIA.PL 1999-2023 Wszystkie prawa zastrzeżone.