Skul.pl
  • Opracowania zadań z podręczników
  • Chemia. Klasa 2. Podręcznik. Zakres rozszerzony. Wersja 2023 - rozwiązania i odpowiedzi
  • Zadanie 22

Chemia. Klasa 2. Podręcznik. Zakres rozszerzony. Wersja 2023 - rozwiązania i odpowiedzi

Podręcznik, Wydawnictwo: WSiP
Poprzednie

Zadanie 22 - strona 357

Następne

Zadanie

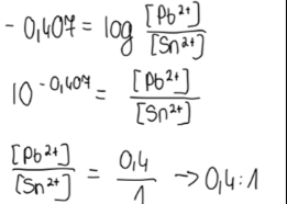
Wyznacz, jaki powinien być stosunek stężeń roztworów zawierających jony Sn²⁺ i Pb²⁺, aby potencjały obu układów miały jednakową wartość.

Rozwiązanie

Skul
Poprzednie
Następne

Chemia - wybrane pytania

Ćwiczenie 1, strona 233, Chemia. Klasa 3. Podręcznik. Zakres rozszerzony - rozwiązania i odpowiedzi
Ćwiczenie 7., strona 361, To jest chemia. Zbiór zadań dla liceum ogólnokształcącego i technikum. Klasa 3.. Zakres rozszerzony- rozwiązania i odpowiedzi
Zadanie 2., strona 332, Chemia. Klasa 3. Podręcznik. Zakres rozszerzony. Część 3 – rozwiązania i odpowiedzi
Ćwiczenie 6., strona 45, NOWA To jest chemia 1. Klasa 1. Podręcznik. Zakres rozszerzony. Wersja 2024 - rozwiązania i odpowiedzi
Zadanie zadanie 11., strona 172, Chemia. Zbiór zadań. Zakres rozszerzony- rozwiązania i odpowiedzi
Ćwiczenie 4, strona 78, Chemia. Klasa 2. Podręcznik. Zakres podstawowy. Wersja 2023 - rozwiązania i odpowiedzi
Pytanie 20, strona 166, Chemia. Klasa 1. Podręcznik. Zakres podstawowy. Część 1 – rozwiązania i odpowiedzi
Ćwiczenie 4., strona 173, Chemia. Klasa 7. Podręcznik – rozwiązania i odpowiedzi
Ćwiczenie **5.25., strona 118, Chemia. Klasa 3. Zbiór zadań. Zakres rozszerzony - rozwiązania i odpowiedzi
Ćwiczenie *8.165., strona 189, Chemia. Klasa 3. Zbiór zadań. Zakres rozszerzony - rozwiązania i odpowiedzi
REKLAMA
Skul
Zadania z tego działu
Zadania powtórzeniowe
352
Zadania powtórzeniowe
352

Zadanie 1

352

Podpunkt a)

352

Podpunkt b)

352

Podpunkt c)

352

Zadanie 2

352

Zadanie 3

352

Podpunkt a)

352

Podpunkt b)

352

Zadanie 4

353

Podpunkt a)

353

Podpunkt b)

353

Zadanie 5

353

Podpunkt a)

353

Podpunkt b)

353

Podpunkt c)

353

Zadanie 6

353

Zadanie 7

353

Zadanie 8

354

Podpunkt a)

354

Podpunkt b)

354

Zadanie 9

354

Zadanie 10

354

Zadanie 11

354

Zadanie 12

355

Zadanie 13

355

Podpunkt a)

355

Podpunkt b)

355

Zadanie 14

355

Zadanie 15

355

Podpunkt a)

355

Podpunkt b)

355

Zadanie 16

356

Zadanie 17

356

Zadanie 18

356

Zadanie 19

356

Podpunkt a)

356

Podpunkt b)

356

Podpunkt c)

356

Zadanie 20

356

Podpunkt a)

356

Podpunkt b)

356

Zadanie 21

357

Zadanie 22

357

Zadanie 23

357

Zadanie 24

357

Zadanie 25

357

Podpunkt a)

357

Podpunkt b)

357

Podpunkt c)

357
Pełny spis treści
Skul
Artboard 1
Skul.pl
  • Napisz do nas
  • FAQ
  • Mapa Serwisu
  • Google Play
  • App Store

Korzystanie z portalu oznacza akceptację Regulaminu.
Polityka prywatności. Ustawienia preferencji. Copyright: INTERIA.PL 1999-2023 Wszystkie prawa zastrzeżone.