Substancja A: propanal
Substancja B: propanon
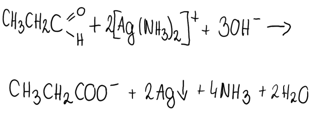
W wyniku próby Tollensa dochodzi do redukcji srebra z +I stopnia utlenienia w tlenku srebra (I) do stopnia utlenienia 0, jaki wykazuje srebro w stanie wolnym. Aldehyd utlenia się natomiast do kwasu karboksylowego o takiej samej ilości atomów węgla.
Równanie zachodzącej reakcji: