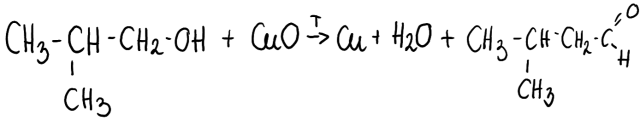
Zachodzi reakcja zgodna z równaniem:
W wyniku utleniania alkoholi monohydroksylowych mogą powstać:
· aldehydy- jeśli utleniamy I-rzędowy alkohol;
· ketony- jeśli utleniamy alkohol II-rzędowy.
Utleniaczem w tego typu reakcjach może być tlenek miedzi (II), a reakcję należy prowadzić w warunkach podwyższonej temperatury.