a) prawda
b) fałsz
c) fałsz
d) prawda
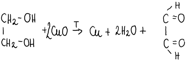
a) Zachodzi reakcja zgodnie z równaniem:
W wyniku utleniania alkoholi monohydroksylowych mogą powstać:
· aldehydy- jeśli utleniamy I-rzędowy alkohol;
· ketony- jeśli utleniamy alkohol II-rzędowy.
Utleniaczem w tego typu reakcjach może być tlenek miedzi (II), a reakcję należy prowadzić w warunkach podwyższonej temperatury.
b) Zajdzie reakcja, w wyniku której powstanie keton:
W wyniku utleniania alkoholi monohydroksylowych mogą powstać:
· aldehydy- jeśli utleniamy I-rzędowy alkohol;
· ketony- jeśli utleniamy alkohol II-rzędowy.
Utleniaczem w tego typu reakcjach może być tlenek miedzi (II), a reakcję należy prowadzić w warunkach podwyższonej temperatury.
c) Zajdzie reakcja, w wyniku której powstanie inny związek:
W wyniku próby Tollensa dochodzi do redukcji srebra z +I stopnia utlenienia w tlenku srebra (I) do stopnia utlenienia 0, jaki wykazuje srebro w stanie wolnym. Aldehyd utlenia się natomiast do kwasu karboksylowego o takiej samej ilości atomów węgla.
d) Aldehydy wykazują odczyn obojętny.