Zadanie

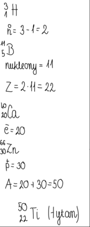
Ustal liczby atomową i masową pierwiastka, którego jeden izotop ma liczbę atomową równą iloczynowi liczby neutronów w atomie 3H i liczby nukleonów w atomie 11B, a jego liczba masowa jest równa sumie liczby elektronów w atomie 40Ca i liczby protonów w atomie 66Zn. Podaj symbol chemiczny tego pierwiastka.

Rozwiązanie

Wyjaśnienie

Zadania z tego działu
Budowa atomu
9
3. Radioizotopy w otoczeniu człowieka
20
4. Uproszczony model budowy atomu
24
5. Prawo okresowości a układ okresowy pierwiastków
29
7. Układ okresowy pierwiastków a budowa atomu
39