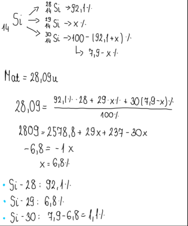
Zadanie

Oblicz zawartość procentową pozostałych izotopów krzemu w przyrodzie, biorąc pod uwagę, że pierwszy izotop ma 14 neutronów, drugi 15, a trzeci 16, a masa atomowa krzemu wynosi 28,09 u.

Rozwiązanie

Wyjaśnienie

Zadania z tego działu
Budowa atomu
9
3. Radioizotopy w otoczeniu człowieka
20
4. Uproszczony model budowy atomu
24
5. Prawo okresowości a układ okresowy pierwiastków
29
7. Układ okresowy pierwiastków a budowa atomu
39