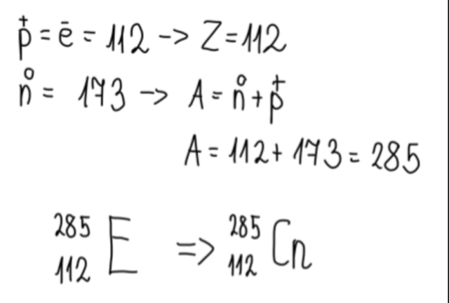
Przedstaw atom pierwiastka o 112 protonach, 173 neutronach i 112 elektronach za pomocą zapisu i podaj jego nazwę.
Zadanie 1.
Zadanie 2.
Zadanie 3.
Podpunkt a)
Podpunkt b)
Podpunkt c)
Zadanie 4.
Zadanie 5.
Zadanie 6.
Zadanie 2
Podpunkt d)
Zadanie 4
Zadanie 7.
Zadanie 8.
Zadanie 9
Zadanie 10
Podpunkt e)
Zadanie 11
Zadanie 12
Zadanie 13
Zadanie 14
Zadanie 15
Zadanie 16
Zadanie 17
Zadanie 18
Zadanie 19
Zadanie 20
Zadanie 21
Zadanie 22
Zadanie 23
Zadanie 24
Zadanie 25
Zadanie 26
Zadanie 27
Zadanie 28
Zadanie 29
Zadanie 30
Zadanie 31