· Stopień utlenienia pierwiastków w stanie wolnym jest równy 0.
· Stopień utlenienia wodoru w większości jego związków jest równy +I.
· Stopień utlenienia wodoru w wodorkach metali jest równy -I.
· Stopień utlenienia tlenu w większości jego związków równy jest -II.
· Stopień utlenienia glinu jest zawsze równy +III, a cynku- +II.
· Stopień utlenienia pierwiastków pierwszej i drugiej grupy układu okresowego jest zawsze równy numerowi grupy, w której leżą.
· Stopień utlenienia tlenu w nadtlenkach jest równy -I, a w ponadtlenkach -1/2.
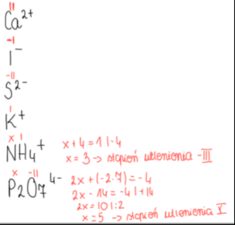
· Suma stopni utlenienia pierwiastków w związku chemicznym jest równa 0.
· Suma stopni utlenienia pierwiastków w jonie jest równa ładunkowi tego jonu.