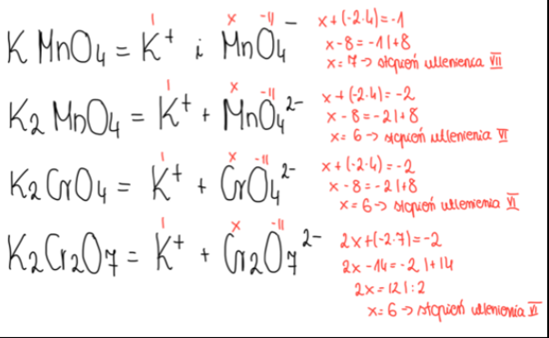
Zadanie

Oblicz stopień utlenienia pierwiastka w podanych związkach.

Rozwiązanie

Wyjaśnienie

Zadania z tego działu
Reakcje utleniania-redukcji
57
10. Reakcje utleniania-redukcji.
64
11. Ogniwa galwaniczne.
70
12. Siła elektromotoryczna ogniwa galwanicznego.
75
13. Potencjał standardowy półogniwa.
79
14. Źródła prądu stałego.
83
15. Korozja i ochrona przed jej powstawaniem.
89