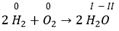
a) Spalanie wodoru w tlenie
Wodór uległ reakcji utlenienia, a tlen uległ reakcji redukcji. Jest to reakcja redoks.
b) Reakcja tlenku wapnia z wodą
Brak zmiany stopni utlenienia – nie jest to reakcja redoks.
Reakcje redoks polegają na utlenianiu i redukcji. Podczas takich reakcji utleniacz się redukuje, a reduktor się utlenia.
Zapisujemy równania reakcji chemicznych i zaznaczamy stopnie utlenienia poszczególnych pierwiastków:
c) Spalanie wodoru w tlenie
Wodór zmienił swój stopień utlenienia z 0 na I (zwiększył), co oznacza, że uległ reakcji utlenienia. Natomiast tlen zmienił swój stopień utlenienia z 0 na –II (zmniejszył), co oznacza, że uległ reakcji redukcji.
d) Reakcja tlenku wapnia z wodą
Żaden z pierwiastków nie zmienił stopnia utlenienia, co oznacza, że nie jest to reakcja redoks.