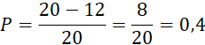
W tym zadaniu musisz ocenić prawdopodobieństwo wyrzucenia kostką 20-ścienną liczby większej od 12.
Prawdopodobieństwo to iloraz liczby interesujących nas wyników i wszystkich wyników możliwych.
Ćwiczenie 1
8Ćwiczenie 3
11Zadanie 1
11Zadanie 2
11Zadanie 4
12Zadanie 5
12Zadanie 7
13Zadanie 9
13Zadanie 10
14Zadanie 12
14Zadanie 14
15Ćwiczenie sprawdzające I
16Ćwiczenie sprawdzające III
16Ćwiczenie sprawdzające IV
16Ćwiczenie 2
19Ćwiczenie 5
21Zadanie 1
22Zadanie 3
23Zadanie 5
23Zadanie 8
23Zadanie 12
24Zadanie 13
24Zadanie dla dociekliwych 2
25Ćwiczenie sprawdzające I
25Ćwiczenie sprawdzające IV
25Zadanie 1
26Zadanie 3
31Zadanie 5
32Ćwiczenie 2
37Ćwiczenie 3
39Zadanie 1
39Zadanie 3
40Zadanie 4
40Zadanie 6
41Zadanie 7
41Zadanie 8
42Zadanie dla dociekliwych 1
42Ćwiczenie sprawdzające IV
43Ćwiczenie 3
47Zadanie 1
49Zadanie 2
49Zadanie 5
49Zadanie 6
50Zadanie dla dociekliwych 1
50Zadanie 1.4
51Zadanie 1.5
52Zadanie 1.7
52Zadanie 2.1
53Zadanie 2.4
53Zadanie 2.6
54Zadanie 1
56Zadanie 2
56Zadanie 1
57Zadanie 5
58Zadanie 8
59Zadanie 9
59