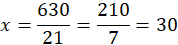
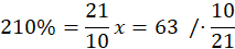
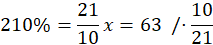
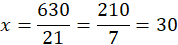
Podaj liczbę, której:
210% to 63
Niech x to będzie szukana liczba. Wiadomo, że jej 210% to 63, więc mnożąc przez dziesięć dwudziestych pierwszych znajdziesz wynik:
Ćwiczenie B
57Ćwiczenie C
57Ćwiczenie E
59Zadanie 1
59Zadanie 2
59Zadanie 3
59Zadanie 4
60Zadanie 5
60Zadanie 6
60Zadanie 7
60Zadanie 9
61Zadanie 10
61Zadanie 12
62Zadanie 13
62Zadanie 15
62Zadanie 16
62Zadanie 18
62Zadanie 1
64Zadanie 2
65Zadanie 3
65Zadanie 4
65Zadanie 5
66Zadanie 6
66Zadanie 7
67Ćwiczenie A
68Zadanie 1
69Zadanie 6
69Zadanie 8
70Zadanie 11
70Zadanie 13
71Zadanie 14
71Zadanie 15
71Ćwiczenie A
72Zadanie 1
73Zadanie 2
73Zadanie 5
73Zadanie 7
74Zadanie 12
75Zadanie 1
77Zadanie 2
78Zadanie 7
78Ćwiczenie A
79Ćwiczenie B
79Zadanie 1
80Zadanie 3
81Zadanie 4
81Zadanie 5
81Zadanie 7
81Zadanie 13
82Zadanie 14
82Zadanie 16
83Ćwiczenie A
84Zadanie 1
85Zadanie 3
85Zadanie 4
85Zadanie 9
86Ćwiczenie A
87Zadanie 1
88Zadanie 3
88Zadanie 6
89Zadanie 7
89Zadanie 8
90Zadanie 1
92Zadanie 2
92Zadanie 1
94Zadanie 2
94Zadanie 5
94Zadanie 8
94Zadanie 9
94Zadanie 11
95Zadanie 18
95Zadanie 19
95Zadanie 20
96Zadanie 24
96Zadanie 29
96Zadanie 30
96Zadanie 37
97Zadanie 39
97Zadanie 42
98Zadanie 51
98