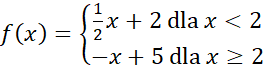
W tym zadaniu wiedząc, że funkcja jest określona następująco:
Miejsca zerowe:
x + 4 = 0 / - 4
x = -4
-x + 5 = 0 / + x
x = 5
Miejsca zerowe funkcji to x = -4 i x = 5.
x + 4 > 0 / - 4
x > -4
-x + 5 > 0 / + x
5 > x
x < 5
Funkcja przyjmuje wartości dodatnie na przedziale
Funkcja przyjmuje wartości ujemne w przedziale
f(2) = -2 + 5 = 3
Maksimum znajduje się w punkcie (2, 3).
Aby obliczyć miejsca zerowe, wyznacz f(x) = 0.
Dla x < 2:
x + 4 = 0 / - 4
x = -4
Dla x ≥ 2:
-x + 5 = 0 / + x
x = 5
Funkcja przyjmuje wartości dodatnie, gdy znajduje się ponad osią X.
Dla x < 2:
x + 4 > 0 / - 4
x > -4
Dla x ≥ 2:
-x + 5 > 0 / + x
5 > x
x < 5
Wyznacz przedział wspólny zbiorów x > -4 oraz x < 5
Na pozostałych przedziałach funkcja przyjmuje wartości ujemne:
Maksimum funkcji znajduje się dla x = 2.
f(2) = -2 + 5 = 3
Maksimum znajduje się w punkcie (2, 3).
Ćwiczenie A
83Ćwiczenie B
84Zadanie 1
85Zadanie 2
85Zadanie 3
85Zadanie 4
86Zadanie 5
86Zadanie 7
86Zadanie 8
86Zadanie 9
87Zadanie 10
87Zadanie 11
87Zadanie 13
88Zadanie 14
88Zadanie 15
88Zadanie 1
93Zadanie 2
93Zadanie 4
93Zadanie 5
93Zadanie 6
93Zadanie 7
94Zadanie 8
94Zadanie 9
94Zadanie 11
95Zadanie 12
85Zadanie 13
95Zadanie 14
95Zadanie 15
96Zadanie 16
96Zadanie 17
96Zadanie 18
96Zadanie 3
101Zadanie 4
101Zadanie 6
101Zadanie 8
101Przykład 1
103Przykład 2
104Przykład 3
104Przykład 4
105Zadanie 1
106Zadanie 2
106Zadanie 3
106Zadanie 4
107Zadanie 5
107Zadanie 6
107Zadanie 7
107Zadanie 8
107Zadanie 9
107Zadanie 10
107Ćwiczenie 1
110Przykład 2
112Zadanie 1
112Zadanie 2
113Zadanie 3
113Zadanie 4
113Zadanie 5
114Zadanie 6
114Zadanie 7
115Zadanie 9
116Zadanie 11
116Ćwiczenie A
117Ćwiczenie B
118Przykład 1
118Ćwiczenie C
119Zadanie 1
120Zadanie 2
120Zadanie 3
120Zadanie 4
121Zadanie 5
121Zadanie 6
121Zadanie 7
121Zadanie 8
121Zadanie 9
122Zadanie 11
122Zadanie 12
122Zadanie 13
122Zadanie 14
123Zadanie 15
123Zadanie 16
123Zadanie 17
123Zadanie 18
123Zadanie 19
123Zadanie 20
123Ćwiczenie 1
124Przykład 1
125Zadanie 1
127Zadanie 3
127Zadanie 4
127Zadanie 6
127Zadanie 7
127Zadanie 8
127Zadanie 9
128Zadanie 10
128Zadanie 11
128Zadanie 12
128Zadanie 13
128Zadanie 14
129Zadanie 15
129Zadanie 16
128Zadanie 2
130Zadanie 3
130Zadanie 5
130Zadanie 6
130Zadanie 7
130Zadanie 8
130Zadanie 9
130Zadanie 10
130Zadanie 11
130