W tym zadaniu określ, ile razy natężenie dźwięku wydawanego przez pewien odkurzacz jest większe od natężenia dźwięku wydawanego przez pewną lodówkę wiedząc, że poziom głośności dźwięku wydawanego przez tę lodówkę jest równy 40 dB, a przez ten odkurzacz – 80 dB.
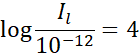
Il = 104 ∙ 10-12 = 10-8
Io = 108 ∙ 10-12 = 10-4
Natężenie dźwięku wydawanego przez odkurzacz jest 10 000 razy większe od natężenia dźwięku wydawanego przez lodówkę
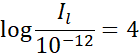
Poziom głośności dźwięku (w decybelach) można obliczyć ze wzoru:
Natężenie dźwięku lodówki:
Skorzystaj z definicji logarytmów logax = b ⇒ x = ab.
Il = 104 ∙ 10-12 = 10-8
Natężenie dźwięku odkurzacza:
Skorzystaj z definicji logarytmów logax = b ⇒ x = ab.
Io = 108 ∙ 10-12 = 10-4
Natężenie dźwięku wydawanego przez odkurzacz jest 10 000 razy większe od natężenia dźwięku wydawanego przez lodówkę
Ćwiczenie A
83Ćwiczenie B
84Zadanie 1
85Zadanie 2
85Zadanie 3
85Zadanie 4
86Zadanie 5
86Zadanie 7
86Zadanie 8
86Zadanie 9
87Zadanie 10
87Zadanie 11
87Zadanie 13
88Zadanie 14
88Zadanie 15
88Zadanie 1
93Zadanie 2
93Zadanie 4
93Zadanie 5
93Zadanie 6
93Zadanie 7
94Zadanie 8
94Zadanie 9
94Zadanie 11
95Zadanie 12
85Zadanie 13
95Zadanie 14
95Zadanie 15
96Zadanie 16
96Zadanie 17
96Zadanie 18
96Zadanie 3
101Zadanie 4
101Zadanie 6
101Zadanie 8
101Przykład 1
103Przykład 2
104Przykład 3
104Przykład 4
105Zadanie 1
106Zadanie 2
106Zadanie 3
106Zadanie 4
107Zadanie 5
107Zadanie 6
107Zadanie 7
107Zadanie 8
107Zadanie 9
107Zadanie 10
107Ćwiczenie 1
110Przykład 2
112Zadanie 1
112Zadanie 2
113Zadanie 3
113Zadanie 4
113Zadanie 5
114Zadanie 6
114Zadanie 7
115Zadanie 9
116Zadanie 11
116Ćwiczenie A
117Ćwiczenie B
118Przykład 1
118Ćwiczenie C
119Zadanie 1
120Zadanie 2
120Zadanie 3
120Zadanie 4
121Zadanie 5
121Zadanie 6
121Zadanie 7
121Zadanie 8
121Zadanie 9
122Zadanie 11
122Zadanie 12
122Zadanie 13
122Zadanie 14
123Zadanie 15
123Zadanie 16
123Zadanie 17
123Zadanie 18
123Zadanie 19
123Zadanie 20
123Ćwiczenie 1
124Przykład 1
125Zadanie 1
127Zadanie 3
127Zadanie 4
127Zadanie 6
127Zadanie 7
127Zadanie 8
127Zadanie 9
128Zadanie 10
128Zadanie 11
128Zadanie 12
128Zadanie 13
128Zadanie 14
129Zadanie 15
129Zadanie 16
128Zadanie 2
130Zadanie 3
130Zadanie 5
130Zadanie 6
130Zadanie 7
130Zadanie 8
130Zadanie 9
130Zadanie 10
130Zadanie 11
130