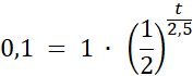
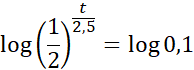
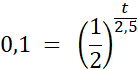
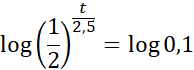
W tym zadaniu oblicz, po jakim czasie zawartość izotopu rydu 195Ir w próbce zmniejszy się z 1 mg do 0,1mg wiedząc, że okres połowicznego rozpadu tego izotopu wynosi 2,5 godziny, a masa m pierwiastka promieniotwórczego po upływie czasu t wynosi:
Zawartość tego izotopu w próbce zmniejszy się z 1 mg do 0,1mg po 8 godzinach i 18 minutach.
T = 2,5 h, m = 0,1mg, m0 = 1 mg
Skorzystaj z własności logarytmów logaab = b.
Skorzystaj z własności logarytmów
Zawartość tego izotopu w próbce zmniejszy się z 1 mg do 0,1mg po 8 godzinach i 18 minutach.
Ćwiczenie A
83Ćwiczenie B
84Zadanie 1
85Zadanie 2
85Zadanie 3
85Zadanie 4
86Zadanie 5
86Zadanie 7
86Zadanie 8
86Zadanie 9
87Zadanie 10
87Zadanie 11
87Zadanie 13
88Zadanie 14
88Zadanie 15
88Zadanie 1
93Zadanie 2
93Zadanie 4
93Zadanie 5
93Zadanie 6
93Zadanie 7
94Zadanie 8
94Zadanie 9
94Zadanie 11
95Zadanie 12
85Zadanie 13
95Zadanie 14
95Zadanie 15
96Zadanie 16
96Zadanie 17
96Zadanie 18
96Zadanie 3
101Zadanie 4
101Zadanie 6
101Zadanie 8
101Przykład 1
103Przykład 2
104Przykład 3
104Przykład 4
105Zadanie 1
106Zadanie 2
106Zadanie 3
106Zadanie 4
107Zadanie 5
107Zadanie 6
107Zadanie 7
107Zadanie 8
107Zadanie 9
107Zadanie 10
107Ćwiczenie 1
110Przykład 2
112Zadanie 1
112Zadanie 2
113Zadanie 3
113Zadanie 4
113Zadanie 5
114Zadanie 6
114Zadanie 7
115Zadanie 9
116Zadanie 11
116Ćwiczenie A
117Ćwiczenie B
118Przykład 1
118Ćwiczenie C
119Zadanie 1
120Zadanie 2
120Zadanie 3
120Zadanie 4
121Zadanie 5
121Zadanie 6
121Zadanie 7
121Zadanie 8
121Zadanie 9
122Zadanie 11
122Zadanie 12
122Zadanie 13
122Zadanie 14
123Zadanie 15
123Zadanie 16
123Zadanie 17
123Zadanie 18
123Zadanie 19
123Zadanie 20
123Ćwiczenie 1
124Przykład 1
125Zadanie 1
127Zadanie 3
127Zadanie 4
127Zadanie 6
127Zadanie 7
127Zadanie 8
127Zadanie 9
128Zadanie 10
128Zadanie 11
128Zadanie 12
128Zadanie 13
128Zadanie 14
129Zadanie 15
129Zadanie 16
128Zadanie 2
130Zadanie 3
130Zadanie 5
130Zadanie 6
130Zadanie 7
130Zadanie 8
130Zadanie 9
130Zadanie 10
130Zadanie 11
130