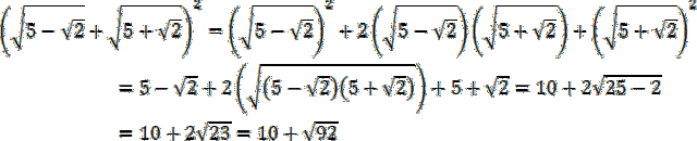
Udowodnij, że
.
Wyznacz wartość lewej strony podanej nierówności. Aby to zrobić zauważ wzór skróconego mnożenia na kwadrat różnicy:
, a następnie na różnicę kwadratów:
.
Zadanie 1.1
5Zadanie 1.2
5Zadanie 1.3
5Zadanie 1.4
5Zadanie 1.5
6Zadanie 1.6
6Zadanie 1.8
6Zadanie 1.9
6Zadanie 1.10
6Zadanie 1.11
7Zadanie 1.12
7Zadanie 1.13
7Zadanie 1.14
7Zadanie 1.15
8Zadanie 1.16
8Zadanie 1.17
8Zadanie 1.21
9Zadanie 1.22
9Zadanie 1.23
9Zadanie 1.24
9Zadanie 1.25
9Zadanie 1.26
10Zadanie 1.27
10Zadanie 1.28
10Zadanie 1.29
10Zadanie 1.30
10Zadanie 1.31
10Zadanie 1.32
11Zadanie 1.33
11Zadanie 1.34
11Zadanie 1.35
12Zadanie 1.36
12Zadanie 1.37
12Zadanie 1.38
12Zadanie 1.39
12Zadanie 1.40
13Zadanie 1.41
13Zadanie 1.42
13Zadanie 1.43
13Zadanie 1.44
13Zadanie 1.45
13Zadanie 1.46
14Zadanie 1.47
14Zadanie 1.48
14Zadanie 1.49
14Zadanie 1.50
14Zadanie 1.51
15Zadanie 1.52
15Zadanie 1.53
15Zadanie 1.54
15Zadanie 1.55
15Zadanie 1.56
15Zadanie 1.57
15Zadanie 1.58
16Zadanie 1.59
16Zadanie 1.60
16Zadanie 1.61
16Zadanie 1.62
16Zadanie 1.63
17Zadanie 1.64
17Zadanie 1.65
17Zadanie 1.66
17Zadanie 1.67
17Zadanie 1.68
18Zadanie 1.70
18Zadanie 11
19Zadanie 19
20Zadanie 20
20Zadanie 21
20Zadanie 22
21Zadanie 23
21Zadanie 24
21Zadanie 25
21Zadanie 26
22