W tym zadaniu musisz podać pole wycinka kołowego.
Dzięki znajomości pola trójkąta OAB wyznacz sinus kąta między ramionami za pomocą wzoru
Kąt między ramionami trójkąta jest równy połowie kąta środkowego, który wyznacza wycinek koła. (jeżeli oznaczysz punkt styczności okręgów przez P otrzymasz 4 kąty, wszystkie będące kątami ostrymi przystających trójkątów prostokątnych, których przyprostokątne są równe promieniowi mniejszego okręgu i odległości od punktu O do punktu styczności z okręgiem, a przeciwprostokątne są równe odległości punktu O i środków mniejszego okręgu)
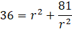
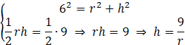
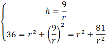
Oznacz przez h wysokość trójkąta OAB, a przez r promień mniejszego okręgu.
Zapisz równanie wynikające z twierdzenia Pitagorasa dla trójkąta OPB, a także równanie opisujące pole trójkąta OPB. Otrzymasz układ równań z dwoma niewiadomymi.
Rozwiąż układ przez podstawienie za h wielkości zależnej od r, wyznaczonej z drugiego równania. Po podstawieniu h do pierwszego równania otrzymasz
Aby rozwiązać powyższe równanie, podstaw za r2 zmienną pomocniczą t i rozwiąż równanie kwadratowe pamiętając, że t musi być nieujemne.
Wróć do podstawienia i wyznacz możliwe wartości r. Wynik
Promień wycinka jest równy sumie odległości punktów O i B oraz promienia okręgu r.
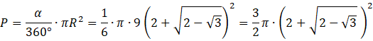
Pole wycinka oblicz korzystając ze wzoru
Ćwiczenie 1
327Ćwiczenie 2
329Zadanie 1
330Zadanie 2
330Zadanie 3
330Ćwiczenie 1
333Zadanie 1
334Zadanie 2
334Zadanie 3
334Zadanie 1
340Zadanie 5
340Zadanie 6
340Zadanie 7
340Zadanie 8
341Zadanie 18
341Zadanie 19
341Zadanie 1
345Zadanie 2
345Ćwiczenie 6
349Ćwiczenie 7
349Zadanie 1
349Zadanie 3
350Zadanie 4
350Zadanie 5
350Zadanie 6
350Zadanie 10
350Zadanie 11
350Zadanie 12
350Zadanie 13
350Ćwiczenie 2
352Zadanie 1
354Zadanie 2
355Zadanie 3
355Zadanie 4
355Zadanie 5
355Zadanie 6
355Zadanie 7
355Zadanie 8
355Zadanie 3
358Zadanie 7
358Ćwiczenie 2
360Zadanie 5
362Zadanie 6
362Zadanie 16
363Zadanie 17
363Zadanie 11
369Zadanie 13
369Zadanie 14
369Zadanie 18
369Zadanie 19
369Zadanie 20
369Zadanie 21
369Zadanie 22
370Zadanie 24
370Zadanie 30
370