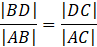
W tym zadaniu musisz podać długości odcinków BD i CD.
Rozwiązanie zacznij od obliczenia długości przeciwprostokątnej trójkąta, korzystając przy tym z twierdzenia Pitagorasa. Następnie zapisz równanie wynikające z twierdzenia o dwusiecznej. Oznacz długość boku |BD| przez x, a |CD| jako różnicę przeciwprostokątnej i |BD|. Podstaw te wartości do równania, otrzymując tym samym równanie z jedną niewiadomą x. Na podstawie rozwiązania równania wyznacz długości odcinków.
Ćwiczenie 1
327Ćwiczenie 2
329Zadanie 1
330Zadanie 2
330Zadanie 3
330Ćwiczenie 1
333Zadanie 1
334Zadanie 2
334Zadanie 3
334Zadanie 1
340Zadanie 5
340Zadanie 6
340Zadanie 7
340Zadanie 8
341Zadanie 18
341Zadanie 19
341Zadanie 1
345Zadanie 2
345Ćwiczenie 6
349Ćwiczenie 7
349Zadanie 1
349Zadanie 3
350Zadanie 4
350Zadanie 5
350Zadanie 6
350Zadanie 10
350Zadanie 11
350Zadanie 12
350Zadanie 13
350Ćwiczenie 2
352Zadanie 1
354Zadanie 2
355Zadanie 3
355Zadanie 4
355Zadanie 5
355Zadanie 6
355Zadanie 7
355Zadanie 8
355Zadanie 3
358Zadanie 7
358Ćwiczenie 2
360Zadanie 5
362Zadanie 6
362Zadanie 16
363Zadanie 17
363Zadanie 11
369Zadanie 13
369Zadanie 14
369Zadanie 18
369Zadanie 19
369Zadanie 20
369Zadanie 21
369Zadanie 22
370Zadanie 24
370Zadanie 30
370