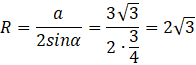
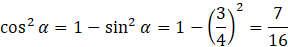
W tym zadaniu musisz podać promień okręgu opisanego na trójkącie.
Przekształcając wzór, gdzie pole równa się połowie iloczynu długości 2 boków i sinusa kąta między nimi wyznacz sinus. Korzystając z jedynki trygonometrycznej otrzymasz wartość cosinusa. Rozważ 2 przypadki. Z twierdzenia cosinusów wyznacz długość trzeciego boku, a następnie z twierdzenia sinusów długość promienia okręgu opisanego na tym trójkącie.
Ćwiczenie 1
327Ćwiczenie 2
329Zadanie 1
330Zadanie 2
330Zadanie 3
330Ćwiczenie 1
333Zadanie 1
334Zadanie 2
334Zadanie 3
334Zadanie 1
340Zadanie 5
340Zadanie 6
340Zadanie 7
340Zadanie 8
341Zadanie 18
341Zadanie 19
341Zadanie 1
345Zadanie 2
345Ćwiczenie 6
349Ćwiczenie 7
349Zadanie 1
349Zadanie 3
350Zadanie 4
350Zadanie 5
350Zadanie 6
350Zadanie 10
350Zadanie 11
350Zadanie 12
350Zadanie 13
350Ćwiczenie 2
352Zadanie 1
354Zadanie 2
355Zadanie 3
355Zadanie 4
355Zadanie 5
355Zadanie 6
355Zadanie 7
355Zadanie 8
355Zadanie 3
358Zadanie 7
358Ćwiczenie 2
360Zadanie 5
362Zadanie 6
362Zadanie 16
363Zadanie 17
363Zadanie 11
369Zadanie 13
369Zadanie 14
369Zadanie 18
369Zadanie 19
369Zadanie 20
369Zadanie 21
369Zadanie 22
370Zadanie 24
370Zadanie 30
370