W tym zadaniu musisz wyznaczyć pole trapezu ABCD.
W pierwszym kroku porównaj ze sobą pola trójkątów ADC i CBS, otrzymując równość pól ADC i BCD.
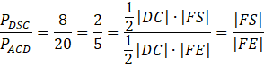
Następnie zapisz stosunek pól trójkątów DSC i ACD, a później każde z pól zapisz za pomocą wzoru na pole trójkąta. Skróć otrzymane ułamek, otrzymując stosunek długości odcinków FS i FE. Wyznacz długość odcinka FS w zależności od długości FE.
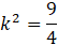
Trójkąty ABS i ADS są podobne na mocy cechy kąt – kat – kąt (jedna para odpowiadających sobie kątów jest kątami wierzchołkowymi, natomiast pozostałe są naprzemianległe wewnętrznie). Zapisz skalę podobieństwa k trójkątów i podstaw pod nią wyznaczoną w poprzednim kroku wartość |FS| w zależności od |FE|. Wyznacz skalę podobieństwa pól tych trójkątów. Na podstawie znajomości pola DCS możesz obliczyć pole trójkąta ABS.
Pole trapezu jest sumą pól czterech trójkątów.
Ćwiczenie 1
327Ćwiczenie 2
329Zadanie 1
330Zadanie 2
330Zadanie 3
330Ćwiczenie 1
333Zadanie 1
334Zadanie 2
334Zadanie 3
334Zadanie 1
340Zadanie 5
340Zadanie 6
340Zadanie 7
340Zadanie 8
341Zadanie 18
341Zadanie 19
341Zadanie 1
345Zadanie 2
345Ćwiczenie 6
349Ćwiczenie 7
349Zadanie 1
349Zadanie 3
350Zadanie 4
350Zadanie 5
350Zadanie 6
350Zadanie 10
350Zadanie 11
350Zadanie 12
350Zadanie 13
350Ćwiczenie 2
352Zadanie 1
354Zadanie 2
355Zadanie 3
355Zadanie 4
355Zadanie 5
355Zadanie 6
355Zadanie 7
355Zadanie 8
355Zadanie 3
358Zadanie 7
358Ćwiczenie 2
360Zadanie 5
362Zadanie 6
362Zadanie 16
363Zadanie 17
363Zadanie 11
369Zadanie 13
369Zadanie 14
369Zadanie 18
369Zadanie 19
369Zadanie 20
369Zadanie 21
369Zadanie 22
370Zadanie 24
370Zadanie 30
370