Wskaż, ile wynosi miejsce zerowe funkcji y = 2x – 1.
A. -1
B. 0
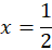
C.
D. 2
0 = 2x – 1
Aby obliczyć, ile wynosi miejsce zerowe, podstaw 0 pod y i oblicz x.
Zadanie 1.
195Zadanie 4.
195Zadanie 2.
195Zadanie 1.
196Zadanie 2.
197Zadanie 2.
197Zadanie 4.
198Zadanie 1.
198Zadanie 2.
198Zadanie 1.
199Zadanie 1.
199Zadanie 2.
199Zadanie 4.
199Zadanie 7.
200Zadanie 1.
200Zadanie 4.
200Zadanie 1.
201Zadanie 2.
201Zadanie 1.
201Zadanie 2.
203Zadanie 3.
203Zadanie 1.
204Zadanie 2.
204Zadanie 3.
204Zadanie 4.
204Zadanie 5.
205Zadanie 2.
206Zadanie 1.
207Zadanie 5.
207Zadanie 1.
209Zadanie 4.
209Zadanie 1.
209Zadanie 2.
210Zadanie 5.
211Zadanie 6.
211Zadanie 2.
211Zadanie 3.
211Zadanie 4.
211Zadanie 5.
212Zadanie 2.
213Zadanie 3.
213Zadanie 4.
213Zadanie 4.
214Zadanie 1.
214Zadanie 4.
214Zadanie 4.
215Zadanie 3.
218Zadanie 4.
218Zadanie 2.
218Zadanie 3.
218Zadanie 1.
219Zadanie 4.
219Zadanie 2.
220Zadanie 3.
220Zadanie 4.
221Zadanie 1.
221Zadanie 2.
221