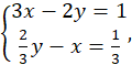
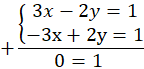
W tym zadaniu dany jest układ równań
Sprzeczność
Żadna para liczb nie spełnia układu równań.
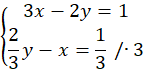
Pomnóż pierwsze równanie przez 3, aby otrzymać przy niewiadomej x liczby przeciwne, a następnie dodaj do siebie równania.
Sprzeczność
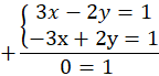
Niewiadome się redukują i zachodzi sprzeczność, że 0 = 1, więc żadna para liczb nie spełnia układu równań.
Zadanie 1.
195Zadanie 4.
195Zadanie 2.
195Zadanie 1.
196Zadanie 2.
197Zadanie 2.
197Zadanie 4.
198Zadanie 1.
198Zadanie 2.
198Zadanie 1.
199Zadanie 1.
199Zadanie 2.
199Zadanie 4.
199Zadanie 7.
200Zadanie 1.
200Zadanie 4.
200Zadanie 1.
201Zadanie 2.
201Zadanie 1.
201Zadanie 2.
203Zadanie 3.
203Zadanie 1.
204Zadanie 2.
204Zadanie 3.
204Zadanie 4.
204Zadanie 5.
205Zadanie 2.
206Zadanie 1.
207Zadanie 5.
207Zadanie 1.
209Zadanie 4.
209Zadanie 1.
209Zadanie 2.
210Zadanie 5.
211Zadanie 6.
211Zadanie 2.
211Zadanie 3.
211Zadanie 4.
211Zadanie 5.
212Zadanie 2.
213Zadanie 3.
213Zadanie 4.
213Zadanie 4.
214Zadanie 1.
214Zadanie 4.
214Zadanie 4.
215Zadanie 3.
218Zadanie 4.
218Zadanie 2.
218Zadanie 3.
218Zadanie 1.
219Zadanie 4.
219Zadanie 2.
220Zadanie 3.
220Zadanie 4.
221Zadanie 1.
221Zadanie 2.
221