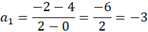
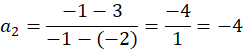
W tym zadaniu policz, jakie są współczynniki kierunkowy prostych A(0, 4), B(2, -2) i C(-2, 3), D(-1, -1). Czy te proste są równoległe?
Proste nie są równoległe.
Aby wyliczyć współczynnik kierunkowy, podstaw dane do wzoru:
Proste nie są równoległe, ponieważ ich współczynniki kierunkowe są inne.
Zadanie 1.
195Zadanie 4.
195Zadanie 2.
195Zadanie 1.
196Zadanie 2.
197Zadanie 2.
197Zadanie 4.
198Zadanie 1.
198Zadanie 2.
198Zadanie 1.
199Zadanie 1.
199Zadanie 2.
199Zadanie 4.
199Zadanie 7.
200Zadanie 1.
200Zadanie 4.
200Zadanie 1.
201Zadanie 2.
201Zadanie 1.
201Zadanie 2.
203Zadanie 3.
203Zadanie 1.
204Zadanie 2.
204Zadanie 3.
204Zadanie 4.
204Zadanie 5.
205Zadanie 2.
206Zadanie 1.
207Zadanie 5.
207Zadanie 1.
209Zadanie 4.
209Zadanie 1.
209Zadanie 2.
210Zadanie 5.
211Zadanie 6.
211Zadanie 2.
211Zadanie 3.
211Zadanie 4.
211Zadanie 5.
212Zadanie 2.
213Zadanie 3.
213Zadanie 4.
213Zadanie 4.
214Zadanie 1.
214Zadanie 4.
214Zadanie 4.
215Zadanie 3.
218Zadanie 4.
218Zadanie 2.
218Zadanie 3.
218Zadanie 1.
219Zadanie 4.
219Zadanie 2.
220Zadanie 3.
220Zadanie 4.
221Zadanie 1.
221Zadanie 2.
221