Zadanie

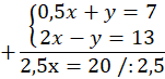
Dane są dwie liczby x i y. Suma połowy liczby x i liczby y wynosi 7. Jeśli od podwojonej liczby y odejmiemy liczbę x, wynik będzie równy 13. Ustal ile wynosi liczba x i y.

Rozwiązanie

Wyjaśnienie

Zadania z tego działu
Zbiór zadań
194
I. Liczby rzeczywiste. 2. Liczby całkowite
195
I. Liczby rzeczywiste. 4. Rozwinięcie dziesiętne liczby rzeczywistej
196
II. Potęgi i pierwiastki. 2. Potęga o wykładniku całkowitym
199
II. Potęgi i pierwiastki. 4. Pierwiastki wyższych stopni
200
III. Procenty i ich zastosowanie. 1. Co to jest procent?
201
III. Procenty i ich zastosowanie. 3. Lokaty
201
IV. Równania i nierówności. 2. Równania – zastosowanie
203
IV. Równania i nierówności. 5. Nierówności – zastosowanie
205
V. Układy równań liniowych. 1. Co to jest układ równań?
206
V. Układy równań liniowych. 2. Metoda podstawiania
206
V. Układy równań liniowych. 3. Metoda przeciwnych współczynników
207
V. Układy równań liniowych. 4. Układy równań – zastosowanie
207
VI. Funkcje. 1. Pojęcie funkcji i sposoby jej opisu
208
VI. Funkcje. 5. Miejsce zerowe funkcji
211
VI. Funkcje. 6. Monotoniczność funkcji
212
VI. Funkcje. 7. Odczytywanie własności funkcji z wykresu
213
VI. Funkcje. 8. Przesuwanie wykresu funkcji wzdłuż osi OY
213
VI. Funkcje. 9. Przesuwanie wykresu funkcji wzdłuż osi OX
214
VI. Funkcje. 10. Symetria wykresu względem osi OX lub OY
215
VI. Funkcje. 11. Funkcje – zastosowanie
215
VII. Funkcja liniowa. 1. Wykres funkcji liniowej
216
VII. Funkcja liniowa. 2. Punkty przecięcia prostej z osiami OX i OY
216
VII. Funkcja liniowa. 3. Monotoniczność funkcji liniowej
217
VII. Funkcja liniowa. 4. Współczynnik kierunkowy prostej
217
VII. Funkcja liniowa. 5. Wyznaczanie wzoru funkcji liniowej
218
VIII. Statystyka. 1. Średnia arytmetyczna
220
VIII. Statystyka. 3. Mediana i dominanta
222