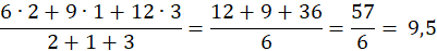
Wylicz, jaka jest średnia ważona liczb, jeśli mają one podane wagi.
Średnia ważona tych liczb to 9,5
Podstaw podane w zadaniu dane do wzoru na średnią ważoną.
Zadanie 1.
195Zadanie 4.
195Zadanie 2.
195Zadanie 1.
196Zadanie 2.
197Zadanie 2.
197Zadanie 4.
198Zadanie 1.
198Zadanie 2.
198Zadanie 1.
199Zadanie 1.
199Zadanie 2.
199Zadanie 4.
199Zadanie 7.
200Zadanie 1.
200Zadanie 4.
200Zadanie 1.
201Zadanie 2.
201Zadanie 1.
201Zadanie 2.
203Zadanie 3.
203Zadanie 1.
204Zadanie 2.
204Zadanie 3.
204Zadanie 4.
204Zadanie 5.
205Zadanie 2.
206Zadanie 1.
207Zadanie 5.
207Zadanie 1.
209Zadanie 4.
209Zadanie 1.
209Zadanie 2.
210Zadanie 5.
211Zadanie 6.
211Zadanie 2.
211Zadanie 3.
211Zadanie 4.
211Zadanie 5.
212Zadanie 2.
213Zadanie 3.
213Zadanie 4.
213Zadanie 4.
214Zadanie 1.
214Zadanie 4.
214Zadanie 4.
215Zadanie 3.
218Zadanie 4.
218Zadanie 2.
218Zadanie 3.
218Zadanie 1.
219Zadanie 4.
219Zadanie 2.
220Zadanie 3.
220Zadanie 4.
221Zadanie 1.
221Zadanie 2.
221