Musisz obliczyć jaką długość ma krawędź tego czworościanu foremnego.
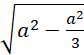
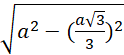
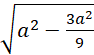
Wyprowadzamy wzór na objętość czworościanu foremnego:
V =
Pp =
H =
V =
2
2
a3 = 24
a = 2
Wiemy, że czworościan foremny ma wszystkie krawędzie równej długości, a jego ściany to trójkąty równoboczne.
Zadanie B
168Zadanie 1
170Zadanie 3
170Zadanie 5
171Zadanie 7
171Zadanie 12
172Zadanie 13
172Zadanie 14
172Zadanie 16
172Ćwiczenie B
174Zadanie 1
175Zadanie 2
175Zadanie 5
176Zadanie 6
176Zadanie 7
176Zadanie 8
176Zadanie 11
177Ćwiczenie B
181Zadanie 1
181Zadanie 2
182Zadanie 3
182Zadanie 4
182Zadanie 5
182Zadanie 7
183Zadanie 8
183Zadanie 3
186Zadanie 4
186Zadanie 5
186Zadanie 1
189Zadanie 2
189Zadanie 4
189Zadanie 10
190Ćwiczenie B
193Zadanie 7
195Zadanie 9
195Zadanie 12
196Zadanie 15
197Zadanie 3
200Zadanie 6
200Zadanie 9
200Zadanie 12
201Zadanie 14
201Zadanie 15
201Zadanie 16
201Zadanie 18
201Zadanie 24
202Zadanie 27
202Zadanie 30
203Zadanie 31
203Zadanie 33
203Zadanie 34
203Zadanie 38
204Zadanie 39
204