Musisz obliczyć objętość ostrosłupa prawidłowego sześciokątnego.
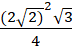
Wiemy, że połowa dłużej przekątnej sześciokąta foremnego jest równa jego krawędzi. Skorzystamy z twierdzenia Pitagorasa, aby obliczyć wysokość tego ostrosłupa. Krawędź boczna wynosi 2 •
H2 =
H =
Pp = 6 •
V =
Twierdzenie Pitagorasa: Jeżeli trójkąt jest prostokątny to suma kwadratów długości przyprostokątnych jest równa kwadratowi długości przeciwprostokątnej.
a2 + b2 = c2
Objętość ostrosłupa wynosi V =
Zadanie B
168Zadanie 1
170Zadanie 3
170Zadanie 5
171Zadanie 7
171Zadanie 12
172Zadanie 13
172Zadanie 14
172Zadanie 16
172Ćwiczenie B
174Zadanie 1
175Zadanie 2
175Zadanie 5
176Zadanie 6
176Zadanie 7
176Zadanie 8
176Zadanie 11
177Ćwiczenie B
181Zadanie 1
181Zadanie 2
182Zadanie 3
182Zadanie 4
182Zadanie 5
182Zadanie 7
183Zadanie 8
183Zadanie 3
186Zadanie 4
186Zadanie 5
186Zadanie 1
189Zadanie 2
189Zadanie 4
189Zadanie 10
190Ćwiczenie B
193Zadanie 7
195Zadanie 9
195Zadanie 12
196Zadanie 15
197Zadanie 3
200Zadanie 6
200Zadanie 9
200Zadanie 12
201Zadanie 14
201Zadanie 15
201Zadanie 16
201Zadanie 18
201Zadanie 24
202Zadanie 27
202Zadanie 30
203Zadanie 31
203Zadanie 33
203Zadanie 34
203Zadanie 38
204Zadanie 39
204