Musisz obliczyć długość odcinka oznaczonego literą x, y i z.
Odcinek obliczymy z twierdzenia Pitagorasa, gdzie pierwszą przyprostokątną będzie połowa przekątnej podstawy, a przeciwprostokątną krawędź boczna.
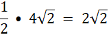
Połowa przekątnej kwadratu:
Z twierdzenia Pitagorasa:
(
8 + x2 = 36
x2 = 28
x =
Odcinek obliczymy z twierdzenia Pitagorasa, gdzie pierwszą przyprostokątną będzie połowa przekątnej podstawy, a drugą przyprostokątną wysokość ostrosłupa.
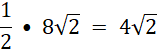
Połowa przekątnej kwadratu:
Z twierdzenia Pitagorasa:
(
32 + 64 = y2
y2 = 96
y =
Najpierw obliczymy połowę przekątnej z twierdzenia Pitagorasa, a następnie krawędź podstawy.
42 + b2 = 52
16 + b2 = 25
b2 = 9
b =
2 • 3 = 6 – długość przekątnej
Zatem długość krawędzi to:
6 = z
6
3
Twierdzenie Pitagorasa: Jeżeli trójkąt jest prostokątny to suma kwadratów długości przyprostokątnych jest równa kwadratowi długości przeciwprostokątnej.
a2 + b2 = c2
Zadanie B
168Zadanie 1
170Zadanie 3
170Zadanie 5
171Zadanie 7
171Zadanie 12
172Zadanie 13
172Zadanie 14
172Zadanie 16
172Ćwiczenie B
174Zadanie 1
175Zadanie 2
175Zadanie 5
176Zadanie 6
176Zadanie 7
176Zadanie 8
176Zadanie 11
177Ćwiczenie B
181Zadanie 1
181Zadanie 2
182Zadanie 3
182Zadanie 4
182Zadanie 5
182Zadanie 7
183Zadanie 8
183Zadanie 3
186Zadanie 4
186Zadanie 5
186Zadanie 1
189Zadanie 2
189Zadanie 4
189Zadanie 10
190Ćwiczenie B
193Zadanie 7
195Zadanie 9
195Zadanie 12
196Zadanie 15
197Zadanie 3
200Zadanie 6
200Zadanie 9
200Zadanie 12
201Zadanie 14
201Zadanie 15
201Zadanie 16
201Zadanie 18
201Zadanie 24
202Zadanie 27
202Zadanie 30
203Zadanie 31
203Zadanie 33
203Zadanie 34
203Zadanie 38
204Zadanie 39
204