W tym zadaniu musisz udowodnić podzielność opisanej liczby.
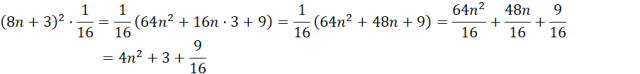
Podzielenie równania przez 16 powoduje powstanie wyrazu wolnego w postaci ułamka. Licznik ułamka to wartość reszty (niepodzielnej).
Ułóż wyrażenie, które przedstawia opisaną liczbę. Następnie uprość równanie i pokaż, że wynik jest podzielny przez wartość określoną w poleceniu. Skorzystaj ze wzorów skróconego mnożenia. Pamiętaj o kolejności wykonywania działań. Pamiętaj, że dzielenie nawiasu (lub licznika ułamka) przez liczbę (mianownik) to podzielenie każdego elementu nawiasu (licznika) przez tę liczbę.
Ćwiczenie 2
62Ćwiczenie 3
63Ćwiczenie 4
64Zadanie 1
64Zadanie 2
65Zadanie 3
65Zadanie 4
65Zadanie 5
65Zadanie 6
65Zadanie 9
66Zadanie dla dociekliwych 1
67Zadanie dla dociekliwych 2
67Ćwiczenie sprawdzające I
67Ćwiczenie sprawdzające II
67Ćwiczenie sprawdzające IV
67Ćwiczenie 1.2
70Ćwiczenie 2
70Ćwiczenie 3
71Ćwiczenie 4
72Zadanie 1
72Zadanie 2
72Zadanie 3
73Zadanie 4
73Zadanie 5
73Zadanie 6
73Zadanie 8
73Ćwiczenie sprawdzające II
74Ćwiczenie 1
77Ćwiczenie 3
77Ćwiczenie 4
78Ćwiczenie 5
78Zadanie 1
79Zadanie 2
79Zadanie 3
79Zadanie 4
80Zadanie 5
80Zadanie 8
80Zadanie dla dociekliwych 1
81Zadanie dla dociekliwych 2
81Zadanie dla dociekliwych 3
81Ćwiczenie sprawdzające I
81Ćwiczenie 1
83Ćwiczenie 2
83Zadanie 1
85Zadanie 13
87Zadanie dla dociekliwych 1
87Ćwiczenie sprawdzające I
87Zadanie 1.1
88Zadanie 1.8
88Zadanie 1.9
88Zadanie 2.5
89Zadanie 2.8
89Zadanie 2.9
89Zadanie 2.10
89Zadanie 2.12
89Zadanie 1
76Zadanie 3
92Zadanie 4
92Zadanie 5
93Zadanie 7
93Zadanie 8
93