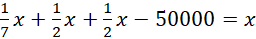
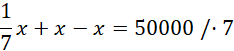
W tym zadaniu musisz ułożyć równanie z niewiadomą i rozwiązać je.
Liczba absolwentów: x.
Było 350 tys. absolwentów.
Ułóż równanie, w którym niewiadomą będzie liczba absolwentów. Pozbądź się ułamków poprzez obustronne mnożenie i zredukuj wyrazy podobne. Przekształć równanie tak, aby jedna strona zawierała tylko wyrazy z niewiadomymi, a druga liczby.
Ćwiczenie 2
62Ćwiczenie 3
63Ćwiczenie 4
64Zadanie 1
64Zadanie 2
65Zadanie 3
65Zadanie 4
65Zadanie 5
65Zadanie 6
65Zadanie 9
66Zadanie dla dociekliwych 1
67Zadanie dla dociekliwych 2
67Ćwiczenie sprawdzające I
67Ćwiczenie sprawdzające II
67Ćwiczenie sprawdzające IV
67Ćwiczenie 1.2
70Ćwiczenie 2
70Ćwiczenie 3
71Ćwiczenie 4
72Zadanie 1
72Zadanie 2
72Zadanie 3
73Zadanie 4
73Zadanie 5
73Zadanie 6
73Zadanie 8
73Ćwiczenie sprawdzające II
74Ćwiczenie 1
77Ćwiczenie 3
77Ćwiczenie 4
78Ćwiczenie 5
78Zadanie 1
79Zadanie 2
79Zadanie 3
79Zadanie 4
80Zadanie 5
80Zadanie 8
80Zadanie dla dociekliwych 1
81Zadanie dla dociekliwych 2
81Zadanie dla dociekliwych 3
81Ćwiczenie sprawdzające I
81Ćwiczenie 1
83Ćwiczenie 2
83Zadanie 1
85Zadanie 13
87Zadanie dla dociekliwych 1
87Ćwiczenie sprawdzające I
87Zadanie 1.1
88Zadanie 1.8
88Zadanie 1.9
88Zadanie 2.5
89Zadanie 2.8
89Zadanie 2.9
89Zadanie 2.10
89Zadanie 2.12
89Zadanie 1
76Zadanie 3
92Zadanie 4
92Zadanie 5
93Zadanie 7
93Zadanie 8
93