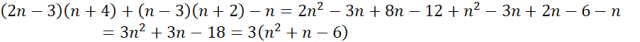
W tym zadaniu musisz pokazać, że wyrażenia są podzielne przez zadaną liczbę dla całkowitych wartości n.
Uprość równanie. Zwróć uwagę na wspólne dzielniki elementów, które pozostaną. Możesz wyciągnąć je przed nawias (by powstał iloczyn liczby i każdego elementu w nawiasie).
Ćwiczenie 2
62Ćwiczenie 3
63Ćwiczenie 4
64Zadanie 1
64Zadanie 2
65Zadanie 3
65Zadanie 4
65Zadanie 5
65Zadanie 6
65Zadanie 9
66Zadanie dla dociekliwych 1
67Zadanie dla dociekliwych 2
67Ćwiczenie sprawdzające I
67Ćwiczenie sprawdzające II
67Ćwiczenie sprawdzające IV
67Ćwiczenie 1.2
70Ćwiczenie 2
70Ćwiczenie 3
71Ćwiczenie 4
72Zadanie 1
72Zadanie 2
72Zadanie 3
73Zadanie 4
73Zadanie 5
73Zadanie 6
73Zadanie 8
73Ćwiczenie sprawdzające II
74Ćwiczenie 1
77Ćwiczenie 3
77Ćwiczenie 4
78Ćwiczenie 5
78Zadanie 1
79Zadanie 2
79Zadanie 3
79Zadanie 4
80Zadanie 5
80Zadanie 8
80Zadanie dla dociekliwych 1
81Zadanie dla dociekliwych 2
81Zadanie dla dociekliwych 3
81Ćwiczenie sprawdzające I
81Ćwiczenie 1
83Ćwiczenie 2
83Zadanie 1
85Zadanie 13
87Zadanie dla dociekliwych 1
87Ćwiczenie sprawdzające I
87Zadanie 1.1
88Zadanie 1.8
88Zadanie 1.9
88Zadanie 2.5
89Zadanie 2.8
89Zadanie 2.9
89Zadanie 2.10
89Zadanie 2.12
89Zadanie 1
76Zadanie 3
92Zadanie 4
92Zadanie 5
93Zadanie 7
93Zadanie 8
93