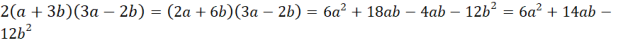
W tym zadaniu oblicz wyrażenie na dwa sposoby i porównać otrzymane wyniki.
(1)
(2)
Wyniki są takie same.
Oblicz wyrażenie dwukrotnie, w kolejności podanej w poleceniu. Pamiętaj, żeby każdy element nawiasu pierwszego był pomnożony przez każdy element nawiasu drugiego. Następnie zredukuj wyrazy podobne, jeżeli takowe się pojawiły. Zwróć uwagę, że wynik nie zależy od kolejności wykonania działań na nawiasach.
Ćwiczenie 2
62Ćwiczenie 3
63Ćwiczenie 4
64Zadanie 1
64Zadanie 2
65Zadanie 3
65Zadanie 4
65Zadanie 5
65Zadanie 6
65Zadanie 9
66Zadanie dla dociekliwych 1
67Zadanie dla dociekliwych 2
67Ćwiczenie sprawdzające I
67Ćwiczenie sprawdzające II
67Ćwiczenie sprawdzające IV
67Ćwiczenie 1.2
70Ćwiczenie 2
70Ćwiczenie 3
71Ćwiczenie 4
72Zadanie 1
72Zadanie 2
72Zadanie 3
73Zadanie 4
73Zadanie 5
73Zadanie 6
73Zadanie 8
73Ćwiczenie sprawdzające II
74Ćwiczenie 1
77Ćwiczenie 3
77Ćwiczenie 4
78Ćwiczenie 5
78Zadanie 1
79Zadanie 2
79Zadanie 3
79Zadanie 4
80Zadanie 5
80Zadanie 8
80Zadanie dla dociekliwych 1
81Zadanie dla dociekliwych 2
81Zadanie dla dociekliwych 3
81Ćwiczenie sprawdzające I
81Ćwiczenie 1
83Ćwiczenie 2
83Zadanie 1
85Zadanie 13
87Zadanie dla dociekliwych 1
87Ćwiczenie sprawdzające I
87Zadanie 1.1
88Zadanie 1.8
88Zadanie 1.9
88Zadanie 2.5
89Zadanie 2.8
89Zadanie 2.9
89Zadanie 2.10
89Zadanie 2.12
89Zadanie 1
76Zadanie 3
92Zadanie 4
92Zadanie 5
93Zadanie 7
93Zadanie 8
93