Zadanie

W tym zadaniu musisz wykonać polecenie z danego poziomu. Oblicz i zredukuj wyrazy podobne.

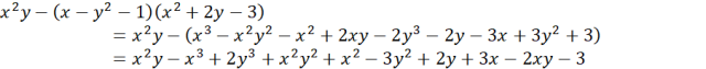
Rozwiązanie

Wyjaśnienie

Zadania z tego działu
II. Wyrażenia algebraiczne i równania
60
1. Liczby na osi liczbowej
60

Ćwiczenie 2

62

Ćwiczenie 3

63

Ćwiczenie 4

64

Zadanie 1

64

Zadanie 2

65

Zadanie 3

65

Zadanie 4

65

Zadanie 5

65

Zadanie 6

65

Zadanie 9

66

Zadanie dla dociekliwych 1

67

Zadanie dla dociekliwych 2

67

Ćwiczenie sprawdzające I

67

Ćwiczenie sprawdzające II

67

Ćwiczenie sprawdzające IV

67