W tym zadaniu musisz wyznaczyć wszystkie wartości parametru p, które spełniają podany warunek.
Przypadek I: równanie
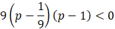
Przypadek II: równanie
Jednym z rozwiązań równania, niezależnie od wartości parametru p, jest x = 1. Aby równanie miało tylko 1 rozwiązanie, równanie
Aby równanie nie miało rozwiązań, jego wyróżnik musi być mniejszy od zera. Zapisz nierówność kwadratową opisującą ten warunek, a następnie rozwiąż ją przez ponownie obliczenie wyróżnika.
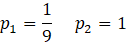
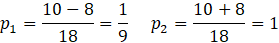
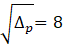
Aby równanie miało jedno rozwiązanie równe 1, wyróżnik musi być równy 0. Wyznacz wartość parametrów, dla których ta równość jest spełniona. Następnie sprawdź, dla jakich wartości p, 1 jest pierwiastkiem równania (przez postawienie x = 1). Jako rozwiązanie podaj p spełniające oba wymienione warunki.
Rozwiązaniem zadania jest suma zbiorów rozwiązań pierwszego i drugiego przypadku.
Zadanie 1
373Zadanie 2
373Zadanie 3
374Zadanie 4
374Zadanie 5
374Zadanie 7
374Zadanie 10
374Ćwiczenie 1
375Ćwiczenie 2
376Ćwiczenie 4
372Zadanie 1
378Zadanie 2
379Zadanie 3
379Zadanie 4
379Zadanie 5
379Zadanie 6
379Zadanie 7
379Zadanie 8
379Zadanie 11
379Ćwiczenie 3
385Ćwiczenie 4
385Ćwiczenie 6
386Ćwiczenie 7
387Zadanie 1
387Zadanie 2
388Zadanie 3
388Zadanie 4
388Zadanie 5
388Zadanie 6
388Zadanie 7
388Zadanie 8
381Zadanie 4
391Zadanie 1
394Zadanie 3
394Zadanie 4
394Zadanie 5
394Zadanie 13
394Ćwiczenie 4
397Zadanie 1
401Zadanie 2
401Zadanie 3
401Zadanie 4
401Zadanie 5
401Zadanie 6
401Zadanie 1
403Zadanie 2
405Zadanie 3
405Ćwiczenie 4
409Zadanie 1
412Zadanie 2
412Zadanie 3
412Zadanie 4
412Zadanie 5
412Zadanie 6
412Zadanie 7
412Zadanie 8
412Zadanie 9
413Zadanie 10
413Zadanie 11
413Zadanie 18
413Zadanie 1
418Zadanie 2
418Zadanie 3
418Zadanie 6
419Zadanie 7
419Zadanie 9
419Zadanie 11
419Zadanie 12
419Zadanie 13
419Zadanie 1
423Zadanie 3
423Zadanie 4
423Zadanie 5
423Zadanie 8
423Ćwiczenie 2
425Ćwiczenie 3
426Ćwiczenie 4
426Zadanie 1
427Zadanie 2
427Zadanie 3
428Zadanie 4
428Zadanie 5
428Zadanie 6
428Zadanie 7
428Zadanie 8
428Zadanie 9
428Zadanie 10
428Ćwiczenie 1
429Zadanie 1
432Zadanie 2
432Zadanie 3
432Zadanie 4
433Zadanie 5
433Zadanie 6
433Zadanie 7
433Zadanie 8
433Zadanie 9
433Zadanie 10
433Zadanie 11
433Zadanie 1
445Zadanie 3
445Zadanie 4
445Ćwiczenie 1
446Ćwiczenie 2
446Zadanie 1
448Zadanie 2
449Zadanie 3
449Zadanie 4
449Zadanie 7
449Zadanie 8
449Zadanie 17
451Zadanie 18
451Zadanie 24
451Zadanie 26
451Zadanie 28
451Zadanie 33
452Zadanie 35
452Zadanie 36
452Zadanie 37
452Zadanie 39
452