W tym zadaniu musisz rozłożyć dany wielomian na czynniki.
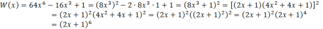
Aby rozłożyć wielomian na czynniki skorzystaj ze wzoru skróconego mnożenia na kwadrat różnicy. Następnie dla wyrażenia w nawiasie, wykorzystaj wzór na sumę sześcianów. Dla wielomianu
Zadanie 1
373Zadanie 2
373Zadanie 3
374Zadanie 4
374Zadanie 5
374Zadanie 7
374Zadanie 10
374Ćwiczenie 1
375Ćwiczenie 2
376Ćwiczenie 4
372Zadanie 1
378Zadanie 2
379Zadanie 3
379Zadanie 4
379Zadanie 5
379Zadanie 6
379Zadanie 7
379Zadanie 8
379Zadanie 11
379Ćwiczenie 3
385Ćwiczenie 4
385Ćwiczenie 6
386Ćwiczenie 7
387Zadanie 1
387Zadanie 2
388Zadanie 3
388Zadanie 4
388Zadanie 5
388Zadanie 6
388Zadanie 7
388Zadanie 8
381Zadanie 4
391Zadanie 1
394Zadanie 3
394Zadanie 4
394Zadanie 5
394Zadanie 13
394Ćwiczenie 4
397Zadanie 1
401Zadanie 2
401Zadanie 3
401Zadanie 4
401Zadanie 5
401Zadanie 6
401Zadanie 1
403Zadanie 2
405Zadanie 3
405Ćwiczenie 4
409Zadanie 1
412Zadanie 2
412Zadanie 3
412Zadanie 4
412Zadanie 5
412Zadanie 6
412Zadanie 7
412Zadanie 8
412Zadanie 9
413Zadanie 10
413Zadanie 11
413Zadanie 18
413Zadanie 1
418Zadanie 2
418Zadanie 3
418Zadanie 6
419Zadanie 7
419Zadanie 9
419Zadanie 11
419Zadanie 12
419Zadanie 13
419Zadanie 1
423Zadanie 3
423Zadanie 4
423Zadanie 5
423Zadanie 8
423Ćwiczenie 2
425Ćwiczenie 3
426Ćwiczenie 4
426Zadanie 1
427Zadanie 2
427Zadanie 3
428Zadanie 4
428Zadanie 5
428Zadanie 6
428Zadanie 7
428Zadanie 8
428Zadanie 9
428Zadanie 10
428Ćwiczenie 1
429Zadanie 1
432Zadanie 2
432Zadanie 3
432Zadanie 4
433Zadanie 5
433Zadanie 6
433Zadanie 7
433Zadanie 8
433Zadanie 9
433Zadanie 10
433Zadanie 11
433Zadanie 1
445Zadanie 3
445Zadanie 4
445Ćwiczenie 1
446Ćwiczenie 2
446Zadanie 1
448Zadanie 2
449Zadanie 3
449Zadanie 4
449Zadanie 7
449Zadanie 8
449Zadanie 17
451Zadanie 18
451Zadanie 24
451Zadanie 26
451Zadanie 28
451Zadanie 33
452Zadanie 35
452Zadanie 36
452Zadanie 37
452Zadanie 39
452