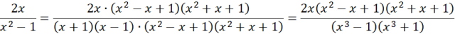
Musisz zapisać założenia do podanych wyrażeń oraz sprowadzić je do wspólnego mianownika.
Założenie:
Założenie:
Założenie:
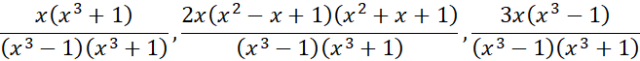
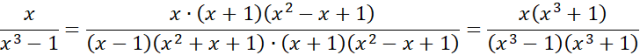
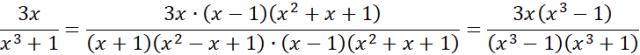
Sprowadzenie do wspólnych mianowników:
Zadanie 1.2.
65Zadanie 1.3.
65Zadanie 1.4.
66Zadanie 1.5.
66Zadanie 1.6.
66Zadanie 1.7.
66Zadanie 1.8.
66Zadanie 1.9.
67Zadanie 1.10.
67Zadanie 1.11.
67Zadanie 1.12.
67Zadanie 1.13.
67Zadanie 2.4.
72Zadanie 2.5.
72Zadanie 2.6.
72Zadanie 2.7.
72Zadanie 2.8.
73Zadanie 2.9.
73Zadanie 2.12.
73Zadanie 2.18.
74Zadanie 3.2.
76Zadanie 3.3.
76Zadanie 3.4.
77Zadanie 3.5.
77Zadanie 3.6.
77Zadanie 3.7.
77Zadanie 3.10.
77Zadanie 3.14.
78Zadanie 4.1.
86Zadanie 4.2.
86Zadanie 4.3.
87Zadanie 4.5.
87Zadanie 4.6.
87Zadanie 4.10.
87Zadanie 4.11.
87Zadanie 4.12.
87Zadanie 4.13.
88Zadanie 4.15.
88Zadanie 4.16.
88Zadanie 4.17.
88Zadanie 4.18.
89Zadanie 4.19.
89Zadanie 4.20.
89Zadanie 4.21.
89Zadanie 5.2.
96Zadanie 5.3.
96Zadanie 5.5.
96Zadanie 5.12.
97Zadanie 5.13.
97Zadanie 5.14.
97Zadanie 5.15.
97Zadanie 6.2.
106Zadanie 6.3.
106Zadanie 6.6.
107Zadanie 6.7.
107Zadanie 6.8.
107Zadanie 6.9.
107Zadanie 6.10.
107Zadanie 6.11.
107Zadanie 7.3.
114Zadanie 7.4.
114Zadanie 7.5.
114Zadanie 7.6.
114Zadanie 7.7.
115Zadanie 7.8.
115Zadanie 7.9.
115Zadanie 7.17.
116Zadanie 7.18.
116Zadanie 7.19.
116Zadanie 8.2.
124Zadanie 8.3.
124Zadanie 8.4.
124Zadanie 8.5.
124Zadanie 8.6.
125Zadanie 8.7.
125Zadanie 8.8.
125Zadanie 8.9.
125Zadanie 8.10.
125Zadanie 8.11.
125Zadanie 8.12.
126Zadanie 9.3.
131Zadanie 9.4.
131Zadanie 9.5.
131Zadanie 9.6.
131Zadanie 9.7.
132Zadanie 28.
136Zadanie 29.
137Zadanie 32.
137Zadanie 33.
137Zadanie 34.
137Zadanie 46.
138Zadanie 47.
138