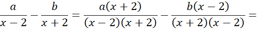
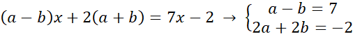
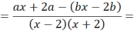
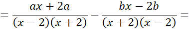
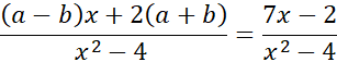
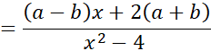
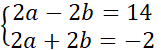
Musisz wprowadzić podane wyrażenia do wspólnego mianownika a następnie porównać współczynniki wyrażeń w licznikach.
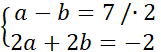
Z dowolnego równania:
Zadanie 1.2.
65Zadanie 1.3.
65Zadanie 1.4.
66Zadanie 1.5.
66Zadanie 1.6.
66Zadanie 1.7.
66Zadanie 1.8.
66Zadanie 1.9.
67Zadanie 1.10.
67Zadanie 1.11.
67Zadanie 1.12.
67Zadanie 1.13.
67Zadanie 2.4.
72Zadanie 2.5.
72Zadanie 2.6.
72Zadanie 2.7.
72Zadanie 2.8.
73Zadanie 2.9.
73Zadanie 2.12.
73Zadanie 2.18.
74Zadanie 3.2.
76Zadanie 3.3.
76Zadanie 3.4.
77Zadanie 3.5.
77Zadanie 3.6.
77Zadanie 3.7.
77Zadanie 3.10.
77Zadanie 3.14.
78Zadanie 4.1.
86Zadanie 4.2.
86Zadanie 4.3.
87Zadanie 4.5.
87Zadanie 4.6.
87Zadanie 4.10.
87Zadanie 4.11.
87Zadanie 4.12.
87Zadanie 4.13.
88Zadanie 4.15.
88Zadanie 4.16.
88Zadanie 4.17.
88Zadanie 4.18.
89Zadanie 4.19.
89Zadanie 4.20.
89Zadanie 4.21.
89Zadanie 5.2.
96Zadanie 5.3.
96Zadanie 5.5.
96Zadanie 5.12.
97Zadanie 5.13.
97Zadanie 5.14.
97Zadanie 5.15.
97Zadanie 6.2.
106Zadanie 6.3.
106Zadanie 6.6.
107Zadanie 6.7.
107Zadanie 6.8.
107Zadanie 6.9.
107Zadanie 6.10.
107Zadanie 6.11.
107Zadanie 7.3.
114Zadanie 7.4.
114Zadanie 7.5.
114Zadanie 7.6.
114Zadanie 7.7.
115Zadanie 7.8.
115Zadanie 7.9.
115Zadanie 7.17.
116Zadanie 7.18.
116Zadanie 7.19.
116Zadanie 8.2.
124Zadanie 8.3.
124Zadanie 8.4.
124Zadanie 8.5.
124Zadanie 8.6.
125Zadanie 8.7.
125Zadanie 8.8.
125Zadanie 8.9.
125Zadanie 8.10.
125Zadanie 8.11.
125Zadanie 8.12.
126Zadanie 9.3.
131Zadanie 9.4.
131Zadanie 9.5.
131Zadanie 9.6.
131Zadanie 9.7.
132Zadanie 28.
136Zadanie 29.
137Zadanie 32.
137Zadanie 33.
137Zadanie 34.
137Zadanie 46.
138Zadanie 47.
138